por Claudin » Qua Set 07, 2011 21:47
Gostaria de saber, sobre o simbolismo matemático na hora de representar soluções principalmente de inequações, quando utiliza-se parentese (), quando é colchete [], e também gostaria de saber sobre o "e" que simboliza o pertence, quando este "e" está invertido com um traço, ele significa o que?
"O que sabemos é uma gota, o que não sabemos é um oceano." - Isaac Newton
-
Claudin
- Colaborador Voluntário

-
- Mensagens: 913
- Registrado em: Qui Mai 12, 2011 17:34
- Formação Escolar: GRADUAÇÃO
- Área/Curso: Engenharia Elétrica
- Andamento: cursando
por MarceloFantini » Qua Set 07, 2011 22:04
Usamos parênteses quando o intervalo é aberto em algum extremo, ou seja, não contém o ponto. O colchete é quando o intervalo é fechado em algum extremo, logo contém o ponto. Sobre os símbolos: você fala deste

ou deste

?
Futuro MATEMÁTICO
-
MarceloFantini
- Colaborador Moderador

-
- Mensagens: 3126
- Registrado em: Seg Dez 14, 2009 11:41
- Formação Escolar: GRADUAÇÃO
- Andamento: formado
por Claudin » Qua Set 07, 2011 22:25
gostaria de saber o significado dos dois.
ps: o topico foi criado uas vezes, devido a falha na conexão, peço que apaguem um para melhor estética e organização do fórum!
"O que sabemos é uma gota, o que não sabemos é um oceano." - Isaac Newton
-
Claudin
- Colaborador Voluntário

-
- Mensagens: 913
- Registrado em: Qui Mai 12, 2011 17:34
- Formação Escolar: GRADUAÇÃO
- Área/Curso: Engenharia Elétrica
- Andamento: cursando
por MarceloFantini » Qua Set 07, 2011 22:28
O primeiro significa não pertence. Em geral, um símbolo com um traço quer dizer sua negação, então = significa igual,

significa diferente. No caso do segundo,

significa existe e portanto

significa não existe.
Futuro MATEMÁTICO
-
MarceloFantini
- Colaborador Moderador

-
- Mensagens: 3126
- Registrado em: Seg Dez 14, 2009 11:41
- Formação Escolar: GRADUAÇÃO
- Andamento: formado
por Claudin » Qua Set 07, 2011 22:38
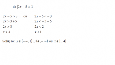
Então como podeia me explicar sobre o sinal de nao pertence nesta solução sendo que foi encontrado resultado e na solução disse que nao pertence
- Anexos
-

"O que sabemos é uma gota, o que não sabemos é um oceano." - Isaac Newton
-
Claudin
- Colaborador Voluntário

-
- Mensagens: 913
- Registrado em: Qui Mai 12, 2011 17:34
- Formação Escolar: GRADUAÇÃO
- Área/Curso: Engenharia Elétrica
- Andamento: cursando
por MarceloFantini » Qua Set 07, 2011 22:57
O conjunto
![[1,4] [1,4]](/latexrender/pictures/94fe668c80113341416b96929a8f1024.png)
é simplesmente o complementar de

. Se

, então

, que é seu complementar.
Futuro MATEMÁTICO
-
MarceloFantini
- Colaborador Moderador

-
- Mensagens: 3126
- Registrado em: Seg Dez 14, 2009 11:41
- Formação Escolar: GRADUAÇÃO
- Andamento: formado
por Claudin » Qui Set 08, 2011 02:13
"O que sabemos é uma gota, o que não sabemos é um oceano." - Isaac Newton
-
Claudin
- Colaborador Voluntário

-
- Mensagens: 913
- Registrado em: Qui Mai 12, 2011 17:34
- Formação Escolar: GRADUAÇÃO
- Área/Curso: Engenharia Elétrica
- Andamento: cursando
Voltar para Inequações
Se chegou até aqui, provavelmente tenha interesse pelos tópicos relacionados abaixo.
Aproveite a leitura. Bons estudos!
-
- Linguagem matematica e algebra
por luiz syncode » Sex Jul 01, 2011 12:07
- 4 Respostas
- 2292 Exibições
- Última mensagem por LuizAquino

Ter Jul 05, 2011 23:04
Álgebra Elementar
-
- Linguagem algébrica
por Renatinha » Seg Nov 01, 2010 01:22
- 7 Respostas
- 5383 Exibições
- Última mensagem por girl

Ter Nov 02, 2010 14:06
Álgebra Elementar
-
- Linguagem algébrica
por Renatinha » Ter Nov 02, 2010 14:13
- 4 Respostas
- 4493 Exibições
- Última mensagem por Dinora

Dom Nov 07, 2010 23:24
Álgebra Elementar
-
- Matemática Financeira: matemática
por Victor Gabriel » Sex Mai 10, 2013 02:49
- 1 Respostas
- 3177 Exibições
- Última mensagem por killua05

Qua Mai 29, 2013 13:49
Matemática Financeira
-
- matemática
por sandi » Sáb Set 26, 2009 02:31
- 8 Respostas
- 6073 Exibições
- Última mensagem por sandi

Ter Set 29, 2009 20:41
Matemática Financeira
Usuários navegando neste fórum: Nenhum usuário registrado e 1 visitante
Assunto:
Funções
Autor:
Emilia - Sex Dez 03, 2010 13:24
Preciso de ajuda no seguinte problema:
O governo de um Estado Brasileiro mudou a contribuição previdenciária de seus contribuintes. era de 6% sobre qualquer salário; passou para 11% sobre o que excede R$1.200,00 nos salários. Por exemplo, sobre uma salário de R$1.700,00, a contribuição anterior era: 0,06x R$1.700,00 = R$102,00; e a atual é: 0,11x(R$1.700,00 - R$1.200,00) = R$55,00.
i. Determine as funções que fornecem o valor das contribuições em função do valor x do salário antes e depois da mudança na forma de cobrança.
ii. Esboce seus gráficos.
iii. Determine os valores de salários para os quais:
- a contribuição diminuiu;
- a contribuição permaneceu a mesma;
- a contribuição aumentou.
Powered by phpBB © phpBB Group.
phpBB Mobile / SEO by Artodia.