por yuripa » Seg Ago 17, 2015 01:46
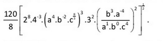
Ola, estou tentando resolver essa questao da ufsc que basicamente envolve apenas conceitos de potencia. Eu consigo anular o B e o C, mas nunca consigo cortar o A completamente, e como a resposta se trata de um numero puro, devo estar fazendo algo muito errado.
Resposta = 90.
OBS: Nao da pra ver direito na imagem, mas o C mais da esquerda é elevado a 8/3.
- Anexos
-

- UFSC
-
yuripa
- Novo Usuário

-
- Mensagens: 2
- Registrado em: Seg Ago 17, 2015 01:40
- Formação Escolar: ENSINO MÉDIO
- Andamento: cursando
por nakagumahissao » Seg Ago 17, 2015 11:43
Editado pela última vez por
nakagumahissao em Ter Ago 18, 2015 03:13, em um total de 3 vezes.
Eu faço a diferença. E você?
Do Poema: Quanto os professores "fazem"?
De Taylor Mali
-
nakagumahissao
- Colaborador Voluntário

-
- Mensagens: 386
- Registrado em: Qua Abr 04, 2012 14:07
- Localização: Brazil
- Formação Escolar: GRADUAÇÃO
- Área/Curso: Lic. Matemática
- Andamento: cursando
-
por yuripa » Seg Ago 17, 2015 14:16
Ola, primeiramente obrigado pela resposta.
Quando voce passou o 1/2 multiplicando, por que o a^2 que estava em baixo nao foi multiplicado tambem? Ele nao deveria ter virado a^1? O c^8 que estava do lado foi, e virou c^4, nao entendi por que o a nao foi.
-
yuripa
- Novo Usuário

-
- Mensagens: 2
- Registrado em: Seg Ago 17, 2015 01:40
- Formação Escolar: ENSINO MÉDIO
- Andamento: cursando
por nakagumahissao » Ter Ago 18, 2015 03:15
Bem observado! Você têm razão.
Fiz as correções necessárias. Acredito que a resposta do gabarito esteja faltando este "a".
Obrigado
Sandro
Eu faço a diferença. E você?
Do Poema: Quanto os professores "fazem"?
De Taylor Mali
-
nakagumahissao
- Colaborador Voluntário

-
- Mensagens: 386
- Registrado em: Qua Abr 04, 2012 14:07
- Localização: Brazil
- Formação Escolar: GRADUAÇÃO
- Área/Curso: Lic. Matemática
- Andamento: cursando
-
Voltar para Aritmética
Se chegou até aqui, provavelmente tenha interesse pelos tópicos relacionados abaixo.
Aproveite a leitura. Bons estudos!
-
- ufsc 2007
por manuoliveira » Seg Dez 13, 2010 21:45
- 2 Respostas
- 10297 Exibições
- Última mensagem por analauraa_b

Seg Mar 27, 2023 21:47
Geometria Plana
-
- Álgebra - UFSC
por thamaracm » Sáb Nov 10, 2012 06:44
- 1 Respostas
- 3186 Exibições
- Última mensagem por young_jedi

Sáb Nov 10, 2012 10:20
Álgebra Elementar
-
- Prisma ufsc 1996
por Maria Livia » Sáb Nov 10, 2012 10:25
- 2 Respostas
- 12725 Exibições
- Última mensagem por Maria Livia

Sáb Nov 10, 2012 10:47
Geometria Espacial
-
- [Série de potÊncia] Expansão de séries de potência
por Adonias 7 » Qua Jun 01, 2016 09:05
- 0 Respostas
- 3545 Exibições
- Última mensagem por Adonias 7

Qua Jun 01, 2016 09:05
Sequências
-
- Potência de potência... não sei ao certo se entendi...
por Vennom » Sáb Fev 20, 2010 10:42
- 3 Respostas
- 3596 Exibições
- Última mensagem por mottasky

Ter Out 04, 2011 02:03
Álgebra Elementar
Usuários navegando neste fórum: Nenhum usuário registrado e 0 visitantes
Assunto:
Unesp - 95 Números Complexos
Autor:
Alucard014 - Dom Ago 01, 2010 18:22
(UNESP - 95) Seja L o Afixo de um Número complexo

em um sistema de coordenadas cartesianas xOy. Determine o número complexo b , de módulo igual a 1 , cujo afixo M pertence ao quarto quadrante e é tal que o ângulo LÔM é reto.
Assunto:
Unesp - 95 Números Complexos
Autor:
MarceloFantini - Qui Ago 05, 2010 17:27
Seja

o ângulo entre o eixo horizontal e o afixo

. O triângulo é retângulo com catetos

e

, tal que

. Seja

o ângulo complementar. Então

. Como

, o ângulo que o afixo

formará com a horizontal será

, mas negativo pois tem de ser no quarto quadrante. Se

, então

. Como módulo é um:

.
Logo, o afixo é

.
Powered by phpBB © phpBB Group.
phpBB Mobile / SEO by Artodia.