por AlexKidd » Dom Ago 12, 2012 12:40
Resolva os sistemas:
a)
5^x+y=1
3^x.9^x=1/9
b)
2^2(x²-y)=100.5^2(y-x²)
x+y=5
-
AlexKidd
- Novo Usuário

-
- Mensagens: 3
- Registrado em: Dom Ago 12, 2012 12:32
- Formação Escolar: ENSINO MÉDIO PROFISSIONALIZANTE
- Andamento: cursando
por DanielFerreira » Dom Ago 12, 2012 12:53
Alex,
seja bem-vindo!
De acordo com as regras do fórum, deve expor as suas tentativas.
Sugiro que dê uma lida nas regras do fórum.
Quanto a questão, não ficou clara, mas tentarei ajudar...

II:

Como disse anteriormente, o sistema não ficou muito claro (primeira equação), então agora basta vc substituir o valor de

na outra equação e encontrar

.
Espero ter ajudado!!
Daniel F.
"Sabedoria é saber o que fazer;
habilidade é saber como fazer;
virtude é fazer."
(David S. Jordan)
--------------------------------------------------------------------------------
-
DanielFerreira
- Colaborador - em formação

-
- Mensagens: 1732
- Registrado em: Qui Jul 23, 2009 21:34
- Localização: Mangaratiba - RJ
- Formação Escolar: GRADUAÇÃO
- Área/Curso: Licenciatura em Matemática - IFRJ
- Andamento: formado
-
por AlexKidd » Dom Ago 12, 2012 13:07
A sim coompreendo,desculpe pelo meu erro,fiz tantas tentativas...Mas enfim.
Não sei o que ocorreu,não percebi que formula nao foi gerada!
Para o exercicio 'a' ficar mais claro:

Minha 1° tentativa:

Porém percebi que não eliminei o x ou y,tentei deixar o y=1 pra ver se conseguiria algum resultado...


,se continuar nessa segunda tentativa terei algum problema?
Acho que você acabou me ajudando de uma maneira indireta também,me lembrei que poderia resolver tudo separado;coisa que não tinha lembrado antes
-
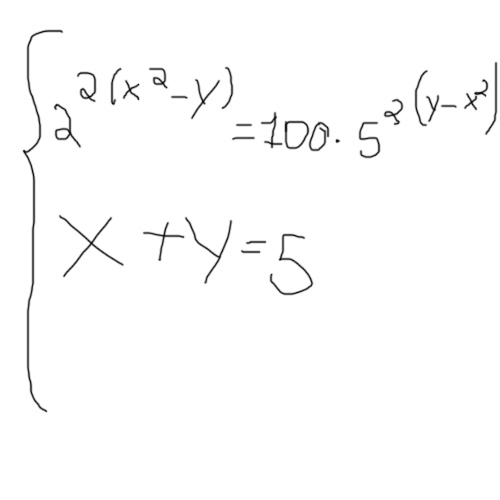
Exercicio b=
Esse preferi enviar em imagem:
Tentei fazer da mesma forma da 1° tentativa da questão 'a',depois também tentei de jeito prox a segunda tentativa porém sem sucesso,em breve posto aqui uma foto de uma folha,porém agora tenho que sair.
- Anexos
-

-
AlexKidd
- Novo Usuário

-
- Mensagens: 3
- Registrado em: Dom Ago 12, 2012 12:32
- Formação Escolar: ENSINO MÉDIO PROFISSIONALIZANTE
- Andamento: cursando
por DanielFerreira » Dom Ago 12, 2012 15:07
Alex,
confesso que não entendi sua tentativa. Vou te apresentar a forma que acho mais simples de resolver, veja:

Como

, temos:

"Sabedoria é saber o que fazer;
habilidade é saber como fazer;
virtude é fazer."
(David S. Jordan)
--------------------------------------------------------------------------------
-
DanielFerreira
- Colaborador - em formação

-
- Mensagens: 1732
- Registrado em: Qui Jul 23, 2009 21:34
- Localização: Mangaratiba - RJ
- Formação Escolar: GRADUAÇÃO
- Área/Curso: Licenciatura em Matemática - IFRJ
- Andamento: formado
-
por AlexKidd » Dom Ago 12, 2012 20:28
E compreendo,minha matematica não e das melhores,até por que na hora em que fiz isso e digitei estava meio sem tempo e meio cansado já.
Mas de qualquer forma obrigado.
A segunda estou tentando fazer ainda,meu orgulho me dominou nela!
-
AlexKidd
- Novo Usuário

-
- Mensagens: 3
- Registrado em: Dom Ago 12, 2012 12:32
- Formação Escolar: ENSINO MÉDIO PROFISSIONALIZANTE
- Andamento: cursando
por DanielFerreira » Seg Ago 27, 2012 20:42
Olá
AlexKidd,
boa noite!
Desculpe a demora.
Achei a questão bem interessante. É um 'jogo' de propriedades!
Segue a solução:

Agora basta resolver o sistema:

Estarei aguardando os valores encontrados, e, possíveis dúvidas.
Até breve.
Daniel F.
"Sabedoria é saber o que fazer;
habilidade é saber como fazer;
virtude é fazer."
(David S. Jordan)
--------------------------------------------------------------------------------
-
DanielFerreira
- Colaborador - em formação

-
- Mensagens: 1732
- Registrado em: Qui Jul 23, 2009 21:34
- Localização: Mangaratiba - RJ
- Formação Escolar: GRADUAÇÃO
- Área/Curso: Licenciatura em Matemática - IFRJ
- Andamento: formado
-
Voltar para Equações
Se chegou até aqui, provavelmente tenha interesse pelos tópicos relacionados abaixo.
Aproveite a leitura. Bons estudos!
-
- equaçoes exponenciais
por natanskt » Qui Out 07, 2010 13:37
- 7 Respostas
- 4618 Exibições
- Última mensagem por Rogerio Murcila

Qui Out 07, 2010 17:25
Funções
-
- equaçoes exponenciais
por natanskt » Qui Out 07, 2010 13:58
- 6 Respostas
- 3824 Exibições
- Última mensagem por MarceloFantini

Qui Out 07, 2010 17:43
Funções
-
- equações com exponenciais
por Regina » Sex Fev 25, 2011 14:52
- 4 Respostas
- 3237 Exibições
- Última mensagem por Regina

Sex Fev 25, 2011 19:39
Logaritmos
-
- Equações Exponenciais
por umaiafilho » Qui Mai 12, 2011 21:09
- 2 Respostas
- 2388 Exibições
- Última mensagem por umaiafilho

Qui Mai 12, 2011 23:01
Sistemas de Equações
-
- Equações exponenciais
por Lucio » Sex Nov 30, 2012 07:26
- 4 Respostas
- 2554 Exibições
- Última mensagem por Lucio

Sáb Dez 01, 2012 05:51
Equações
Usuários navegando neste fórum: Nenhum usuário registrado e 7 visitantes
Assunto:
Proporcionalidade
Autor:
silvia fillet - Qui Out 13, 2011 22:46
Divida o numero 35 em partes diretamente proporcionais a 4, 10 e 14. Em seguida divida o mesmo numero em partes proporcionais a 6, 15 e 21. explique por que os resultados sao iguais.
Assunto:
Proporcionalidade
Autor:
silvia fillet - Sáb Out 15, 2011 10:25
POR GENTILEZA PODEM VERIFICAR SE O MEU RACIOCINIO ESTÁ CERTO?
P1 = K.4 SUBSTITUINDO K POR 1,25 P1= 5
P2 = K.10 SUBSTITUINDO K POR 1,25 P2= 12,50
P3 = K.13 SUBSTITUINDO K POR 1,25 P3= 17,50
P1+P2+P3 = 35
K.4+K.10+K.13 = 35
28 K = 35
K= 1,25
P1 = K.6 SUBSTITUINDO K POR 0,835 P1= 5
P2 = K.15 SUBSTITUINDO K POR 0,835 P2 = 12,50
P3 = K.21 SUBSTITUINDO K POR 0,835 P3 = 17,50
K.6+K.15+K.21 = 35
42K = 35
K= 0,833
4/6 =10/15 =14/21 RAZÃO = 2/3
SERÁ QUE ESTÁ CERTO?
ALGUEM PODE ME AJUDAR A EXPLICAR MELHOR?
OBRIGADA
SILVIA
Assunto:
Proporcionalidade
Autor:
ivanfx - Dom Out 16, 2011 00:37
utilize a definição e não se baseie no exercícios resolvidos da redefor, assim você terá mais clareza, mas acredito que sua conclusão esteja correto, pois o motivo de darem o mesmo resultado é pq a razão é a mesma.
Assunto:
Proporcionalidade
Autor:
Marcos Roberto - Dom Out 16, 2011 18:24
Silvia:
Acho que o resultado é o mesmo pq as razões dos coeficientes e as razões entre os números são inversamente proporcionais.
Você conseguiu achar o dia em que caiu 15 de novembro de 1889?
Assunto:
Proporcionalidade
Autor:
deiasp - Dom Out 16, 2011 23:45
Ola pessoal
Tb. estou no redefor
O dia da semana em 15 de novembro de 1889, acredito que foi em uma sexta feira
Assunto:
Proporcionalidade
Autor:
silvia fillet - Seg Out 17, 2011 06:23
Bom dia,
Realmente foi uma sexta feira, como fazer os calculos para chegar ?
Assunto:
Proporcionalidade
Autor:
ivanfx - Seg Out 17, 2011 07:18
Para encontrar o dia que caiu 15 de novembro de 1889 você deve em primeiro lugar encontrar a quantidade de anos bissextos que houve entre 1889 à 2011, após isso dá uma verificada no ano 1900, ele não é bissexto, pois a regra diz que ano que é múltiplo de 100 e não é múltiplo de 400 não é bissexto.
Depois calcule quantos dias dão de 1889 até 2011, basta pegar a quantidade de anos e multiplicar por 365 + 1 dia a cada ano bissexto (esse resultado você calculou quando encontrou a quantidade de anos bissextos)
Pegue o resultado e divida por 7 e vai obter o resto.
obtendo o resto e partindo da data que pegou como referência conte a quantidade do resto para trás da semana.
Assunto:
Proporcionalidade
Autor:
silvia fillet - Seg Out 17, 2011 07:40
Bom dia,
Será que é assim:
2011 a 1889 são 121 anos sendo , 30 anos bissextos e 91 anos normais então temos:
30x366 = 10.980 dias
91x365 = 33.215 dias
incluindo 15/11/1889 - 31/12/1889 47 dias
33215+10980+47 = 44242 dias
44242:7 = 6320 + resto 2
è assim, nâo sei mais sair disso.
Assunto:
Proporcionalidade
Autor:
ivanfx - Seg Out 17, 2011 10:24
que tal descontar 1 dia do seu resultado, pois 1900 não é bissexto, ai seria 44241 e quando fizer a divisão o resto será 1
como etá pegando base 1/01/2011, se reparar bem 01/01/2011 sempre cai no mesmo dia que 15/01/2011, sendo assim se 01/01/2011 caiu em um sábado volte 1 dia para trás, ou seja, você está no sábado e voltando 1 dia voltará para sexta.então 15/11/1889 cairá em uma sexta
Assunto:
Proporcionalidade
Autor:
Kiwamen2903 - Seg Out 17, 2011 19:43
Boa noite, sou novo por aqui, espero poder aprender e ajudar quando possível! A minha resposta ficou assim:
De 1889 até 2001 temos 29 anos bissextos a começar por 1892 (primeiro múltiplo de 4 após 1889) e terminar por 2008 (último múltiplo de 4 antes de 2011). Vale lembrar que o ano 1900 não é bissexto, uma vez que é múltiplo de 100 mas não é múltiplo de 400.
De um ano normal para outro, se considerarmos a mesma data, eles caem em dias consecutivos da semana. Por exemplo 01/01/2011 – sábado, e 01/01/2010 – sexta.
De um ano bissexto para outro, se considerarmos a mesma data, um cai dois dias da semana depois do outro. Por exemplo 01/01/2008 (ano bissexto) – Terça – feira, e 01/01/09 – Quinta-feira.
Sendo assim, se contarmos um dia da semana de diferença para cada um dos 01/01 dos 122 anos que separam 1889 e 2011 mais os 29 dias a mais referentes aos anos bissextos entre 1889 e 2011, concluímos que são 151 dias da semana de diferença, o que na realidade nos trás: 151:7= 21x7+4, isto é, são 4 dias da semana de diferença. Logo, como 15/11/2011 cairá em uma terça-feira, 15/11/1889 caiu em uma sexta-feira.
Powered by phpBB © phpBB Group.
phpBB Mobile / SEO by Artodia.