por jeremiashenrique » Ter Abr 21, 2015 12:16
Pessoal, novamente estou aqui pedindo ajuda sobre esse conteúdo. Pensei que tinha entendido alguma coisa, mas olhando essas questões mais enroladas percebi que não entendi nada. Eu faço Administração, mas praticamente estamos sem professor, pois ele não esta recebendo o pagamento dele, minha turma inteira esta com dificuldades nisso. Eu peço que se por gentileza vcs responderem a questão, façam uma gentileza maior ainda que é comentar, me ensinar. Obrigado!
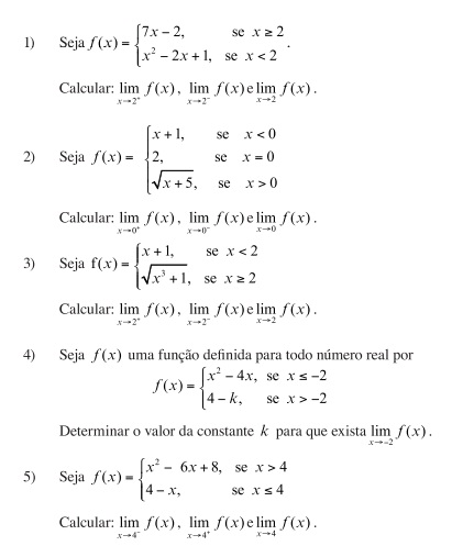
- Anexos
-

- limites de funções
-
jeremiashenrique
- Novo Usuário

-
- Mensagens: 4
- Registrado em: Sex Abr 17, 2015 15:55
- Formação Escolar: GRADUAÇÃO
- Área/Curso: administração de empresas
- Andamento: cursando
por adauto martins » Qua Abr 22, 2015 20:43
1)
vou fazer a primeira,as outras sao semelhantes...
p/valores maiores ou igual a 2,diz q. o limite p/ x indo ao ponto 2,sera:

p/valores menores q. 2,

como os limites laterais no ponto 2 sao diferentes, entao nao existe

...
-
adauto martins
- Colaborador Voluntário

-
- Mensagens: 1171
- Registrado em: Sex Set 05, 2014 19:37
- Formação Escolar: EJA
- Área/Curso: matematica
- Andamento: cursando
por jeremiashenrique » Qui Abr 23, 2015 00:18
valeu
-
jeremiashenrique
- Novo Usuário

-
- Mensagens: 4
- Registrado em: Sex Abr 17, 2015 15:55
- Formação Escolar: GRADUAÇÃO
- Área/Curso: administração de empresas
- Andamento: cursando
Voltar para Funções
Se chegou até aqui, provavelmente tenha interesse pelos tópicos relacionados abaixo.
Aproveite a leitura. Bons estudos!
-
- [Limite] Limite de funções reais de várias variáveis
por Bianca_R » Dom Nov 04, 2012 17:17
- 1 Respostas
- 4786 Exibições
- Última mensagem por MarceloFantini

Dom Nov 04, 2012 19:37
Cálculo: Limites, Derivadas e Integrais
-
- [Limite] Limite de funções piso (maior inteiro)
por ViniciusAlmeida » Sáb Fev 14, 2015 10:09
- 2 Respostas
- 4432 Exibições
- Última mensagem por adauto martins

Qui Fev 19, 2015 15:01
Cálculo: Limites, Derivadas e Integrais
-
- Limite de funções
por jeremiashenrique » Sex Abr 17, 2015 16:07
- 1 Respostas
- 1613 Exibições
- Última mensagem por DanielFerreira

Sex Abr 17, 2015 20:32
Funções
-
- Limite de funções
por jeremiashenrique » Sex Abr 17, 2015 16:07
- 1 Respostas
- 1628 Exibições
- Última mensagem por adauto martins

Seg Abr 20, 2015 20:57
Funções
-
- [Limite] Funções trigonométricas
por Aliocha Karamazov » Qui Out 27, 2011 18:13
- 4 Respostas
- 2027 Exibições
- Última mensagem por Aliocha Karamazov

Sex Out 28, 2011 03:27
Cálculo: Limites, Derivadas e Integrais
Usuários navegando neste fórum: Nenhum usuário registrado e 2 visitantes
Assunto:
Unesp - 95 Números Complexos
Autor:
Alucard014 - Dom Ago 01, 2010 18:22
(UNESP - 95) Seja L o Afixo de um Número complexo

em um sistema de coordenadas cartesianas xOy. Determine o número complexo b , de módulo igual a 1 , cujo afixo M pertence ao quarto quadrante e é tal que o ângulo LÔM é reto.
Assunto:
Unesp - 95 Números Complexos
Autor:
MarceloFantini - Qui Ago 05, 2010 17:27
Seja

o ângulo entre o eixo horizontal e o afixo

. O triângulo é retângulo com catetos

e

, tal que

. Seja

o ângulo complementar. Então

. Como

, o ângulo que o afixo

formará com a horizontal será

, mas negativo pois tem de ser no quarto quadrante. Se

, então

. Como módulo é um:

.
Logo, o afixo é

.
Powered by phpBB © phpBB Group.
phpBB Mobile / SEO by Artodia.