por liviatoniolo222 » Seg Mai 21, 2018 22:54
Não estou conseguindo sair dessa questão.
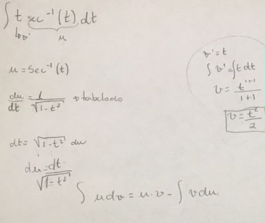
? t. sec-¹(t)dt
O exercício pede para que seja feito por integração por partes
Fiz a integração usando ?udv= u.v -?vdu
e cheguei a isso

depois disso eu não soube mais o que fazer, meu professor disse que eu teria que achar a identidade trigonométrica e fazer com que t seja igual a sen (u) mas eu não entendi como e nem porquê eu devo fazer isso
- Anexos
-

-
liviatoniolo222
- Novo Usuário

-
- Mensagens: 8
- Registrado em: Dom Mai 06, 2018 22:54
- Formação Escolar: ENSINO MÉDIO PROFISSIONALIZANTE
- Área/Curso: eletromecanica
- Andamento: cursando
por Gebe » Ter Mai 22, 2018 10:26
Nao lembrava mais como fazia este tipo de questão. Dei uma olhada nos meus materiais antigos na parte de substituição trigonometrica (coloco uma parte em anexo) e acho que tua questão cai no caso do primeiro exemplo do anexo, ficando assim:

Acho que é isso, mas da uma boa conferida, qualquer duvida manda msg. Espero ter ajudado, bons estudos
-
Gebe
- Colaborador Voluntário

-
- Mensagens: 158
- Registrado em: Qua Jun 03, 2015 22:47
- Formação Escolar: GRADUAÇÃO
- Área/Curso: engenharia eletrica
- Andamento: cursando
por liviatoniolo222 » Ter Mai 22, 2018 16:01
Fiz a mesma pergunta em um outro fórum e me disseram que eu confundi sec-¹ com sen-¹ pois a fórmula de sen-¹ é
e realmente de acordo com a tabela

seria a fórmula correta para sec-¹
Fiquei confusa
-
liviatoniolo222
- Novo Usuário

-
- Mensagens: 8
- Registrado em: Dom Mai 06, 2018 22:54
- Formação Escolar: ENSINO MÉDIO PROFISSIONALIZANTE
- Área/Curso: eletromecanica
- Andamento: cursando
por liviatoniolo222 » Ter Mai 22, 2018 20:48
Conversando com um outro professor, ele sugeriu que usasse esse método.
Estaria correto?
- Anexos
-

-
liviatoniolo222
- Novo Usuário

-
- Mensagens: 8
- Registrado em: Dom Mai 06, 2018 22:54
- Formação Escolar: ENSINO MÉDIO PROFISSIONALIZANTE
- Área/Curso: eletromecanica
- Andamento: cursando
Voltar para Cálculo: Limites, Derivadas e Integrais
Se chegou até aqui, provavelmente tenha interesse pelos tópicos relacionados abaixo.
Aproveite a leitura. Bons estudos!
-
- [INTEGRAL] Integral por partes! Alguem pode me ajudar?
por mih123 » Qua Jan 16, 2013 20:18
- 3 Respostas
- 4573 Exibições
- Última mensagem por adauto martins

Qua Out 22, 2014 09:11
Cálculo: Limites, Derivadas e Integrais
-
- integral por partes
por rita becher » Qua Jun 01, 2011 22:05
- 2 Respostas
- 2302 Exibições
- Última mensagem por rita becher

Qui Jun 02, 2011 10:30
Cálculo: Limites, Derivadas e Integrais
-
- integral por partes
por rita becher » Qui Jun 02, 2011 00:20
- 4 Respostas
- 3988 Exibições
- Última mensagem por rita becher

Sáb Jun 04, 2011 13:01
Cálculo: Limites, Derivadas e Integrais
-
- Integral por Partes
por Guilherme Carvalho » Ter Mar 06, 2012 23:08
- 2 Respostas
- 2094 Exibições
- Última mensagem por Guilherme Carvalho

Qua Mar 07, 2012 10:39
Cálculo: Limites, Derivadas e Integrais
-
- integral por partes
por gasparina nunes » Sáb Abr 07, 2012 23:42
- 3 Respostas
- 2546 Exibições
- Última mensagem por fraol

Dom Abr 08, 2012 22:43
Cálculo: Limites, Derivadas e Integrais
Usuários navegando neste fórum: Nenhum usuário registrado e 0 visitantes
Assunto:
função demanda
Autor:
ssousa3 - Dom Abr 03, 2011 20:55
alguém poderia me ajudar nesse exercício aqui Uma loja de CDs adquire cada unidade por R$20,00 e a revende por R$30,00. Nestas condições,
a quantidade mensal que consegue vender é 500 unidades. O proprietário estima que, reduzindo o preço para R$28,00, conseguirá vender 600 unidades por mês.
a) Obtenha a função demanda, supondo ser linear
Eu faço ensino médio mas compro apostilas de concursos para me preparar para mercado de trabalho e estudar sozinho não é fácil. Se alguém puder me ajudar aqui fico grato
Assunto:
função demanda
Autor:
ssousa3 - Seg Abr 04, 2011 14:30
Gente alguém por favor me ensine a calcular a fórmula da função demanda

Powered by phpBB © phpBB Group.
phpBB Mobile / SEO by Artodia.