por Zicra » Qua Mar 30, 2016 18:47
Contextualizando:
Fator de risco é um elemento que, quando presente, eleva as probabilidades de ocorrência de determinado evento adverso. A probabilidade relativa de um paciente vir a ‘morrer do coração’ (ou, mais elegantemente, desenvolver um evento cardiovascular aterosclerótico fatal) nos próximos 10 anos foi estabelecida pelas Sociedade Europeia de Cardiologia (ESC) e Sociedade Europeia para Prevenção e Reabilitação Cardiovascular (EACPR). Esta fórmula considera diversos fatores de risco, como a idade, o sexo, a tensão arterial, as concentrações de colesterol e o tabagismo. Cada um destes fatores altera muito significativamente o risco do paciente. Alguns deles não podem ser alterados (idade e sexo), de tal forma que o investimento médico deverá concentrar-se naqueles modificáveis (controlar a tensão arterial, o colesterol e, principalmente, deixar de fumar). O resultado aparece na forma de percentagem, que é traduzida para o paciente com termos como ‘baixo risco’, ‘risco moderado’, ‘risco alto’ ou ‘risco muito alto’. Com base nestes termos, foram criadas tabelas com cores (desde o verde ‘tudo OK’, até o vermelho escuro ‘cuidado lá!’). Como médico (e como paciente!), tenho dificuldade em avaliar a diferença entre estes termos ou as suas cores. Há, no entanto um conceito que se percebe bem: a idade dos seus vasos sanguíneos. Se o meu médico me disser ‘Você tem 50 anos, mas os seus vasos têm 58 anos. Deixe de fumar!’, eu, provavelmente, largaria o tabaco.
A Questão:
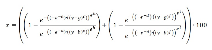
Se o risco cardiovascular é dado pela fórmula:
x=((1-?e^(-((?-e?^(-a) )?((y-g)^c ) ) )?^(e^h )/?e^(-((?-e?^(-a) )?((y-b)^c ) ) )?^(e^h ) )+(1-?e^(-((?-e?^(-d) )?((y-g)^f ) ) )?^(e^i )/?e^(-((?-e?^(-d) )?((y-b)^f ) ) )?^(e^i ) ) )?100
quanto é y?
y=?
Eu não consegui utilizar o editor de fórmulas. Em anexo, um documento do Word com a fórmula mais bem apresentada. Desculpem lá!
-
Zicra
- Novo Usuário

-
- Mensagens: 3
- Registrado em: Qua Mar 30, 2016 17:38
- Formação Escolar: GRADUAÇÃO
- Área/Curso: Medicina
- Andamento: formado
por adauto martins » Sex Abr 08, 2016 11:21
meu caro zicra,
vc poderia me informar sobre o site q. eu encontro essa equaçao para poder entender e transcreve-la para o latex,e caso de,resolve-la pra vc...no mais obrigado,
adauto martins
-
adauto martins
- Colaborador Voluntário

-
- Mensagens: 1171
- Registrado em: Sex Set 05, 2014 19:37
- Formação Escolar: EJA
- Área/Curso: matematica
- Andamento: cursando
por Zicra » Dom Abr 10, 2016 11:19
Caro Adauto Martins
Obrigado pela sua resposta. Pensei ter anexado um documento do Word, na primeira mensagem. Vou anexar um jpeg com a tal fórmula e me certificar de que ela vai com a mensagem. Caso perceba o meu insucesso, arranjo maneira de fazer chegar esta informação a este tread.

- Arquivo jpeg com a fórmula do risco.
Obrigado, desde já.
Zicra
-
Zicra
- Novo Usuário

-
- Mensagens: 3
- Registrado em: Qua Mar 30, 2016 17:38
- Formação Escolar: GRADUAÇÃO
- Área/Curso: Medicina
- Andamento: formado
por adauto martins » Seg Abr 11, 2016 16:28
primeiramente vamos simplificar essa equaçao...creio q. a,b,c,d,f,g,h,i sejam parametros constantes e

seja a exponencial neperiano(

)...entao:

...daqui é obter y=f(x)...nesse caso:

,aqui propriedades da exponencial...agora e usar as propriedades do logaritmo...

...

e dai meu zicra e usar as propriedades algebricas comuns(+,-,.,/) e substituir x por (a/b)y e encontrar y,e´ calculo pacas(muita conta)...
-
adauto martins
- Colaborador Voluntário

-
- Mensagens: 1171
- Registrado em: Sex Set 05, 2014 19:37
- Formação Escolar: EJA
- Área/Curso: matematica
- Andamento: cursando
por Zicra » Seg Abr 11, 2016 17:56
Caro Adauto Martins
Obrigado, mais uma vez. Você assumiu corretamente. 'e' aparece como a constante de Napier. Tinha noção de que essa solução, apesar de possível, não era simples. Os meus conhecimentos de matemática, no entanto, ficam aquém dos logaritmos e exponenciais. Para chegar a esta equação, vários passos são dados. Vou ver se consigo chegar à solução através de cada etapa.
Um abraco!
Zicra
-
Zicra
- Novo Usuário

-
- Mensagens: 3
- Registrado em: Qua Mar 30, 2016 17:38
- Formação Escolar: GRADUAÇÃO
- Área/Curso: Medicina
- Andamento: formado
Voltar para Álgebra Elementar
Se chegou até aqui, provavelmente tenha interesse pelos tópicos relacionados abaixo.
Aproveite a leitura. Bons estudos!
-
- Álgebra Elementar
por Abelardo » Seg Mar 14, 2011 18:09
- 1 Respostas
- 2327 Exibições
- Última mensagem por LuizAquino

Seg Mar 14, 2011 18:21
Álgebra Elementar
-
- Álgebra Elementar
por Thiago Josep » Sex Set 05, 2014 15:32
- 1 Respostas
- 2688 Exibições
- Última mensagem por DanielFerreira

Qui Jan 01, 2015 22:22
Álgebra Elementar
-
- Exercicio-Algebra elementar
por Renks » Seg Fev 14, 2011 20:38
- 3 Respostas
- 4750 Exibições
- Última mensagem por Renks

Ter Fev 15, 2011 13:55
Álgebra Elementar
-
- Questão - Álgebra Elementar
por Oliver » Qua Fev 16, 2011 13:10
- 1 Respostas
- 2570 Exibições
- Última mensagem por DanielFerreira

Qui Fev 17, 2011 16:32
Álgebra Elementar
-
- Demonstrações! Álgebra elementar
por Abelardo » Ter Mar 08, 2011 00:42
- 5 Respostas
- 6951 Exibições
- Última mensagem por Abelardo

Ter Mar 08, 2011 14:35
Álgebra Elementar
Usuários navegando neste fórum: Nenhum usuário registrado e 3 visitantes
Assunto:
[Função] do primeiro grau e quadratica
Autor:
Thassya - Sáb Out 01, 2011 16:20
1) Para que os pontos (1,3) e (-3,1) pertençam ao grafico da função f(X)=ax + b ,o valor de b-a deve ser ?
2)Qual o maior valor assumido pela função f : [-7 ,10] em R definida por f(x) = x ao quadrado - 5x + 9?
3) A função f, do primeiro grau, é definida pos f(x)= 3x + k para que o gráfico de f corte o eixo das ordenadas no ponto de ordenada 5 é?
Assunto:
[Função] do primeiro grau e quadratica
Autor:
Neperiano - Sáb Out 01, 2011 19:46
Ola
Qual as suas dúvidas?
O que você não está conseguindo fazer?
Nos mostre para podermos ajudar
Atenciosamente
Assunto:
[Função] do primeiro grau e quadratica
Autor:
joaofonseca - Sáb Out 01, 2011 20:15
1)Dados dois pontos A=(1,3) e B=(-3,1) de uma reta, é possivel definir a sua equação.
Em

substitui-se
m, substitui-se
y e
x por um dos pares ordenados, e resolve-se em ordem a
b.
2)Na equação

não existem zeros.Senão vejamos
Completando o quadrado,
As coordenadas do vertice da parabola são
O eixo de simetria é a reta

.Como se pode observar o vertice está acima do eixo Ox, estando parabola virada para cima, o vertice é um mínimo absoluto.Então basta calcular a função para os valores dos extremos do intervalo.
f(-7)=93
f(10)=59
Powered by phpBB © phpBB Group.
phpBB Mobile / SEO by Artodia.