por jose henrique » Sex Nov 12, 2010 21:20
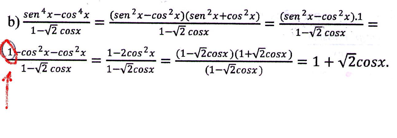
olá pessoal estou com um exercício que eu não compreendi muito bem, principalmente o porquê do número 1 que se encontra marcado de vermelho no arquivo anexo. obrigado!!!
-
jose henrique
- Colaborador Voluntário

-
- Mensagens: 129
- Registrado em: Qui Ago 12, 2010 20:32
- Formação Escolar: ENSINO MÉDIO
- Área/Curso: outros
- Andamento: formado
por Neperiano » Sex Nov 12, 2010 21:38
Ola
Sen^2x + Cos^2x = 1
Logo Sen^2x = 1 - cos^2x
Atenciosamente
Sómente os mortos conhecem o fim da guerra
"Platão"
-

Neperiano
- Colaborador Voluntário

-
- Mensagens: 960
- Registrado em: Seg Jun 16, 2008 17:09
- Formação Escolar: GRADUAÇÃO
- Área/Curso: Engenharia de Produção
- Andamento: cursando
por MarceloFantini » Sex Nov 12, 2010 22:58
Vou fazer em Latex para não confundir:

Relação fundamental da trigonometria.
Futuro MATEMÁTICO
-
MarceloFantini
- Colaborador Moderador

-
- Mensagens: 3126
- Registrado em: Seg Dez 14, 2009 11:41
- Formação Escolar: GRADUAÇÃO
- Andamento: formado
Voltar para Trigonometria
Se chegou até aqui, provavelmente tenha interesse pelos tópicos relacionados abaixo.
Aproveite a leitura. Bons estudos!
-
- Resolução de exercício
por Flavia Araujo » Qui Mai 21, 2009 14:38
- 28 Respostas
- 35687 Exibições
- Última mensagem por Neperiano

Ter Fev 23, 2010 13:50
Progressões
-
- Resolução de Exercicio Urgente
por Mimizinha » Qua Mar 19, 2008 18:13
- 7 Respostas
- 18231 Exibições
- Última mensagem por Mimizinha

Qui Mar 20, 2008 12:58
Sistemas de Equações
-
- Ajuda com resolução do exercicio
por Mimizinha » Ter Abr 01, 2008 10:27
- 3 Respostas
- 5748 Exibições
- Última mensagem por admin

Ter Abr 01, 2008 23:59
Funções
-
- [LIMITE] Resolução de exercício
por mih123 » Seg Set 03, 2012 22:41
- 4 Respostas
- 3175 Exibições
- Última mensagem por mih123

Qua Set 12, 2012 11:19
Cálculo: Limites, Derivadas e Integrais
-
- [exercicio de probabilidade] resolução
por jumz » Qui Set 13, 2012 16:06
- 2 Respostas
- 2673 Exibições
- Última mensagem por jumz

Sex Set 14, 2012 12:31
Probabilidade
Usuários navegando neste fórum: Nenhum usuário registrado e 0 visitantes
Assunto:
[Função] do primeiro grau e quadratica
Autor:
Thassya - Sáb Out 01, 2011 16:20
1) Para que os pontos (1,3) e (-3,1) pertençam ao grafico da função f(X)=ax + b ,o valor de b-a deve ser ?
2)Qual o maior valor assumido pela função f : [-7 ,10] em R definida por f(x) = x ao quadrado - 5x + 9?
3) A função f, do primeiro grau, é definida pos f(x)= 3x + k para que o gráfico de f corte o eixo das ordenadas no ponto de ordenada 5 é?
Assunto:
[Função] do primeiro grau e quadratica
Autor:
Neperiano - Sáb Out 01, 2011 19:46
Ola
Qual as suas dúvidas?
O que você não está conseguindo fazer?
Nos mostre para podermos ajudar
Atenciosamente
Assunto:
[Função] do primeiro grau e quadratica
Autor:
joaofonseca - Sáb Out 01, 2011 20:15
1)Dados dois pontos A=(1,3) e B=(-3,1) de uma reta, é possivel definir a sua equação.
Em

substitui-se
m, substitui-se
y e
x por um dos pares ordenados, e resolve-se em ordem a
b.
2)Na equação

não existem zeros.Senão vejamos
Completando o quadrado,
As coordenadas do vertice da parabola são
O eixo de simetria é a reta

.Como se pode observar o vertice está acima do eixo Ox, estando parabola virada para cima, o vertice é um mínimo absoluto.Então basta calcular a função para os valores dos extremos do intervalo.
f(-7)=93
f(10)=59
Powered by phpBB © phpBB Group.
phpBB Mobile / SEO by Artodia.