por muriloxavier » Ter Jan 17, 2023 18:28
Fala pessoal tudo bem?
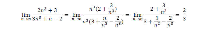
preciso muito da ajuda para entender como resolver esse exercicio passo a passo, nao so o resultado.
é para saber o limite dessa funcao,
basicamente descobrir o valor final dela.
eu sei que é 2/3, mas nao consigo entender como chegar nessa parte.
tenho uma meia solucao que o professor mandou, mas nao entendi as regras para chegar nisso.
por favor preciso de ajuda
- Anexos
-

- essa a funcao
- limite2.png (6.28 KiB) Exibido 9566 vezes
-
muriloxavier
- Novo Usuário

-
- Mensagens: 1
- Registrado em: Dom Dez 11, 2022 17:26
- Formação Escolar: ENSINO MÉDIO PROFISSIONALIZANTE
- Área/Curso: exatas
- Andamento: cursando
por Cleyson007 » Qui Mai 04, 2023 12:38
Bom dia!
Foi feito o seguinte:
* Colocou-se o
n³ como fator comum em evidência da fração;
** Ele foi simplificado dado que aparece no numerador e também no denominador;
*** Repare que

e que o numerador e o denominador da fração estão em função de
n² e
n³. Dividir um numerador por um número muito grande faz tender o resultado à 0. Dessa forma, você chega ao limite de 2/3 quando n tende a infinito. O resultado dessa constante é a própria constante.
Qualquer dúvida estou a disposição.
Cleyson007
-

Cleyson007
- Colaborador Voluntário

-
- Mensagens: 1228
- Registrado em: Qua Abr 30, 2008 00:08
- Formação Escolar: GRADUAÇÃO
- Área/Curso: Matemática UFJF
- Andamento: formado
Voltar para Cálculo: Limites, Derivadas e Integrais
Se chegou até aqui, provavelmente tenha interesse pelos tópicos relacionados abaixo.
Aproveite a leitura. Bons estudos!
-
- [Funcoes] Descobrir o domínio da função
por CarlosAlberto » Qui Out 20, 2016 16:22
- 1 Respostas
- 3368 Exibições
- Última mensagem por petras

Seg Dez 05, 2016 18:35
Funções
-
- Função para descobrir primos grandes (200 dígitos ou +)
por imaia » Qui Set 06, 2012 17:56
- 2 Respostas
- 2483 Exibições
- Última mensagem por Renato_RJ

Sex Set 07, 2012 04:37
Funções
-
- Como faço pra descobrir esta função e o seu grau?
por Ronaldobb » Qua Set 19, 2012 15:07
- 1 Respostas
- 1866 Exibições
- Última mensagem por MarceloFantini

Qua Set 19, 2012 22:47
Funções
-
- [Ponto Crítico] Dificuldade com Função de 2 Variáveis
por Guilhermeds » Qua Mai 30, 2012 16:40
- 2 Respostas
- 3038 Exibições
- Última mensagem por Guilhermeds

Qua Mai 30, 2012 17:39
Cálculo: Limites, Derivadas e Integrais
-
- [Função 2º grau] Dificuldade em resolver questões do tipo
por Richard Oliveira » Seg Nov 07, 2011 16:17
- 5 Respostas
- 3171 Exibições
- Última mensagem por Richard Oliveira

Seg Nov 07, 2011 21:05
Funções
Usuários navegando neste fórum: Nenhum usuário registrado e 2 visitantes
Assunto:
simplifiquei e achei...está certo?????????????
Autor:
zig - Sex Set 23, 2011 13:57
![{(0,05)}^{-\frac{1}{2}}=\frac{10}{\sqrt[5]} {(0,05)}^{-\frac{1}{2}}=\frac{10}{\sqrt[5]}](/latexrender/pictures/19807748a214d3361336324f3e43ea9a.png)
![{(0,05)}^{-\frac{1}{2}}=\frac{10}{\sqrt[2]{5}} {(0,05)}^{-\frac{1}{2}}=\frac{10}{\sqrt[2]{5}}](/latexrender/pictures/3d7908e5b4e397bf635b6546063d9130.png)
Assunto:
simplifiquei e achei...está certo?????????????
Autor:
Vennom - Sex Set 23, 2011 21:41
zig escreveu:![{(0,05)}^{-\frac{1}{2}}=\frac{10}{\sqrt[5]} {(0,05)}^{-\frac{1}{2}}=\frac{10}{\sqrt[5]}](/latexrender/pictures/19807748a214d3361336324f3e43ea9a.png)
![{(0,05)}^{-\frac{1}{2}}=\frac{10}{\sqrt[2]{5}} {(0,05)}^{-\frac{1}{2}}=\frac{10}{\sqrt[2]{5}}](/latexrender/pictures/3d7908e5b4e397bf635b6546063d9130.png)
Rpz, o negócio é o seguinte:
Quando você tem uma potência negativa, tu deve inverter a base dela. Por exemplo:
Então pense o seguinte: a fração geratriz de 0,05 é

, ou seja, 1 dividido por 20 é igual a 0.05 . Sendo assim, a função final é igual a vinte elevado à meio.
Veja:
A raiz quadrada de vinte, você acha fácil, né?
Espero ter ajudado.
Assunto:
simplifiquei e achei...está certo?????????????
Autor:
fraol - Dom Dez 11, 2011 20:23
Nós podemos simplificar, um pouco,

da seguinte forma:

.
É isso.
Assunto:
simplifiquei e achei...está certo?????????????
Autor:
fraol - Dom Dez 11, 2011 20:24
Nós podemos simplificar, um pouco,

da seguinte forma:

.
É isso.
Powered by phpBB © phpBB Group.
phpBB Mobile / SEO by Artodia.