por natanaelskt » Qua Jul 02, 2014 02:13
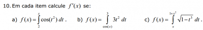
Não estou entendendo como faz esse exercício. o A eu entendi. porém esses outros dois eu não sei fazer. eu não entendo essas expressões em cima da integral. alguém poderia me explicar como resolve?
- Anexos
-

-
natanaelskt
- Usuário Dedicado

-
- Mensagens: 32
- Registrado em: Seg Mar 11, 2013 15:06
- Formação Escolar: ENSINO MÉDIO
- Andamento: formado
por e8group » Qua Jul 02, 2014 14:04
Note que

.
Sem rigor, apenas p/ termos uma noção de um resultado ...
Para começar seja

(a constante ) . Segue-se

.
Quando

, a integral de

sobre o intervalo
![[x,x+h] [x,x+h]](/latexrender/pictures/11f83f7cd0c0bd01081e20010153ffe9.png)
pode ser aproximada por

e com isso

.Alternativamente ,deixe

ser um intervalo fechado de extremos x, x+h .Temos que

sse

.
Quando

, tem-se que

e portanto

.
Como consequência da fórmula obtida juntamente com a regra da cadeia , vamos ter
![[f(p(x))]' = f'(p(x)) \cdot p'(x) = g(p(x))p'(x) [f(p(x))]' = f'(p(x)) \cdot p'(x) = g(p(x))p'(x)](/latexrender/pictures/528d75a29676646907628f08b99f920a.png)
. Agora vamos obter a fórmula destacada .Para tal ,fixe x e suponha

(o caso q(x) = p(x) é trivial) . Neste caso , existe

entre

e

.(O intervalo não é degenerado) e assim

. Daí, ao derivarmos com respeito à x e utilizando os resultados obtidos teremos a fórmula destacada .
Agora basta aplicar a fórmula em cada exercício e fazer a pior parte, contas !
-
e8group
- Colaborador Voluntário

-
- Mensagens: 1400
- Registrado em: Sex Jun 01, 2012 12:10
- Formação Escolar: GRADUAÇÃO
- Área/Curso: Engenharia Elétrica
- Andamento: cursando
Voltar para Cálculo: Limites, Derivadas e Integrais
Se chegou até aqui, provavelmente tenha interesse pelos tópicos relacionados abaixo.
Aproveite a leitura. Bons estudos!
-
- [Exercício de integral definida]
por Reis » Qui Jun 09, 2016 19:33
- 1 Respostas
- 4086 Exibições
- Última mensagem por DanielFerreira

Sáb Jun 11, 2016 09:15
Cálculo: Limites, Derivadas e Integrais
-
- [INTEGRAL DEFINIDA] Exercício do Enade 2011
por fabriel » Seg Nov 05, 2012 13:49
- 2 Respostas
- 2861 Exibições
- Última mensagem por fabriel

Seg Nov 05, 2012 16:57
Cálculo: Limites, Derivadas e Integrais
-
- Duvida Integral Definida
por douglasnickson » Dom Jul 03, 2016 01:39
- 5 Respostas
- 14724 Exibições
- Última mensagem por adauto martins

Ter Jul 05, 2016 15:25
Cálculo: Limites, Derivadas e Integrais
-
- [Integração Definida] dúvida em integral com u.du
por Nicolas1Lane » Sáb Ago 30, 2014 20:36
- 3 Respostas
- 3428 Exibições
- Última mensagem por DanielFerreira

Dom Set 07, 2014 21:35
Cálculo: Limites, Derivadas e Integrais
-
- [calculo] dúvida - integral definida com raiz
por beel » Sex Nov 18, 2011 14:28
- 1 Respostas
- 2437 Exibições
- Última mensagem por MarceloFantini

Sex Nov 18, 2011 16:25
Cálculo: Limites, Derivadas e Integrais
Usuários navegando neste fórum: Nenhum usuário registrado e 35 visitantes
Assunto:
Princípio da Indução Finita
Autor:
Fontelles - Dom Jan 17, 2010 14:42
Não sei onde este tópico se encaixaria. Então me desculpem.
Eu não entendi essa passagem, alguém pode me explicar?

O livro explica da seguinte forma.
1°) P(1) é verdadeira, pois

2°) Admitamos que

, seja verdadeira:

(hipótese da indução)
e provemos que

Temos: (Nessa parte)

Assunto:
Princípio da Indução Finita
Autor:
MarceloFantini - Seg Jan 18, 2010 01:55
Boa noite Fontelles.
Não sei se você está familiarizado com o
Princípio da Indução Finita, portanto vou tentar explicar aqui.
Ele dá uma equação, no caso:
E pergunta: ela vale para todo n? Como proceder: no primeiro passo, vemos se existe pelo menos um caso na qual ela é verdadeira:
Portanto, existe pelo menos um caso para o qual ela é verdadeira. Agora, supomos que

seja verdadeiro, e pretendemos provar que também é verdadeiro para

.
Daí pra frente, ele usou o primeiro membro para chegar em uma conclusão que validava a tese. Lembre-se: nunca saia da tese.
Espero ter ajudado.
Um abraço.
Assunto:
Princípio da Indução Finita
Autor:
Fontelles - Seg Jan 18, 2010 02:28
Mas, Fantini, ainda fiquei em dúvida na passagem que o autor fez (deixei uma msg entre o parêntese).
Obrigado pela ajuda, mesmo assim.
Abraço!
Assunto:
Princípio da Indução Finita
Autor:
Fontelles - Qui Jan 21, 2010 11:32
Galera, ajuda aí!
Por falar nisso, alguém conhece algum bom material sobre o assunto. O livro do Iezzi, Matemática Elementar vol. 1 não está tão bom.
Assunto:
Princípio da Indução Finita
Autor:
MarceloFantini - Qui Jan 21, 2010 12:25
Boa tarde Fontelles!
Ainda não estou certo de qual é a sua dúvida, mas tentarei novamente.
O que temos que provar é isso:

, certo? O autor começou do primeiro membro:
Isso é verdadeiro, certo? Ele apenas aplicou a distributiva. Depois, partiu para uma desigualdade:
Que é outra verdade. Agora, com certeza:
Agora, como

é

a

, e este por sua vez é sempre

que

, logo:
Inclusive, nunca é igual, sempre maior.
Espero (dessa vez) ter ajudado.
Um abraço.
Assunto:
Princípio da Indução Finita
Autor:
Caeros - Dom Out 31, 2010 10:39
Por curiosidade estava estudando indução finita e ao analisar a questão realmente utilizar a desigualdade apresentada foi uma grande sacada para este problema, só queria tirar uma dúvida sobre a sigla (c.q.d), o que significa mesmo?
Assunto:
Princípio da Indução Finita
Autor:
andrefahl - Dom Out 31, 2010 11:37
c.q.d. = como queriamos demonstrar =)
Assunto:
Princípio da Indução Finita
Autor:
Abelardo - Qui Mai 05, 2011 17:33
Fontelles, um bom livro para quem ainda está ''pegando'' o assunto é:'' Manual de Indução Matemática - Luís Lopes''. É baratinho e encontras na net com facilidade. Procura também no site da OBM, vais encontrar com facilidade material sobre PIF... em alguns sites que preparam alunos para colégios militares em geral também tem excelentes materiais.
Assunto:
Princípio da Indução Finita
Autor:
MarceloFantini - Qui Mai 05, 2011 20:05
Abelardo, faz 1 ano que o Fontelles não visita o site, da próxima vez verifique as datas.
Assunto:
Princípio da Indução Finita
Autor:
Vennom - Qui Abr 26, 2012 23:04
MarceloFantini escreveu:Abelardo, faz 1 ano que o Fontelles não visita o site, da próxima vez verifique as datas.
Rpz, faz um ano que o fulano não visita o site, mas ler esse comentário dele enquanto respondia a outro tópico me ajudou. hAUEhUAEhUAEH obrigado, Marcelo. Sua explicação de indução finita me sanou uma dúvida sobre outra coisa.

Powered by phpBB © phpBB Group.
phpBB Mobile / SEO by Artodia.