por Bob90 » Ter Abr 09, 2013 07:52

Olá a todos. Estou com sérias dificuldades em resolver exercícios dessa natureza.
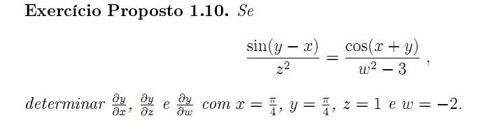
Bom, no caso citado, eu poderia usar aquele teorema no qual eu igualaria toda a função a zero e obteria as derivadas parciais de y em relação a cada uma dessas variáveis ?
Quando eu for obter as derivadas parciais, todas as variáveis (Com exceção da qual eu estou obtendo sua derivada parcial), teriam que ser consideradas como constantes ?Desculpem a ignorância, mas eu estou com curto tempo para aprender isso, ja que tenho prova 5°onde assuntos dessa natureza vão estar em peso na prova e estou um pouco perdido. Desde já, obrigado pela atenção. Fiquem com DEUS !
- Anexos
-

- Imagem do Exér
-
Bob90
- Novo Usuário

-
- Mensagens: 1
- Registrado em: Ter Abr 09, 2013 07:23
- Formação Escolar: GRADUAÇÃO
- Área/Curso: Engenharia
- Andamento: cursando
Voltar para Cálculo: Limites, Derivadas e Integrais
Se chegou até aqui, provavelmente tenha interesse pelos tópicos relacionados abaixo.
Aproveite a leitura. Bons estudos!
-
- Derivação implícita com várias variáveis
por Fernandobertolaccini » Seg Dez 29, 2014 15:45
- 1 Respostas
- 1044 Exibições
- Última mensagem por Fernandobertolaccini

Seg Dez 29, 2014 15:48
Cálculo: Limites, Derivadas e Integrais
-
- Derivação implícita com várias variáveis
por Fernandobertolaccini » Seg Dez 29, 2014 15:50
- 1 Respostas
- 1002 Exibições
- Última mensagem por adauto martins

Seg Dez 29, 2014 19:17
Cálculo: Limites, Derivadas e Integrais
-
- Derivação implícita com várias variáveis
por Fernandobertolaccini » Seg Dez 29, 2014 15:51
- 1 Respostas
- 1023 Exibições
- Última mensagem por adauto martins

Ter Dez 30, 2014 14:23
Cálculo: Limites, Derivadas e Integrais
-
- Derivação Implicita
por xafabi » Qui Mai 02, 2013 13:56
- 0 Respostas
- 1278 Exibições
- Última mensagem por xafabi

Qui Mai 02, 2013 13:56
Cálculo: Limites, Derivadas e Integrais
-
- Derivação implicita.
por cardoed001 » Sáb Set 28, 2013 21:56
- 2 Respostas
- 2665 Exibições
- Última mensagem por cardoed001

Dom Set 29, 2013 12:28
Cálculo: Limites, Derivadas e Integrais
Usuários navegando neste fórum: Nenhum usuário registrado e 0 visitantes
Assunto:
[Função] do primeiro grau e quadratica
Autor:
Thassya - Sáb Out 01, 2011 16:20
1) Para que os pontos (1,3) e (-3,1) pertençam ao grafico da função f(X)=ax + b ,o valor de b-a deve ser ?
2)Qual o maior valor assumido pela função f : [-7 ,10] em R definida por f(x) = x ao quadrado - 5x + 9?
3) A função f, do primeiro grau, é definida pos f(x)= 3x + k para que o gráfico de f corte o eixo das ordenadas no ponto de ordenada 5 é?
Assunto:
[Função] do primeiro grau e quadratica
Autor:
Neperiano - Sáb Out 01, 2011 19:46
Ola
Qual as suas dúvidas?
O que você não está conseguindo fazer?
Nos mostre para podermos ajudar
Atenciosamente
Assunto:
[Função] do primeiro grau e quadratica
Autor:
joaofonseca - Sáb Out 01, 2011 20:15
1)Dados dois pontos A=(1,3) e B=(-3,1) de uma reta, é possivel definir a sua equação.
Em

substitui-se
m, substitui-se
y e
x por um dos pares ordenados, e resolve-se em ordem a
b.
2)Na equação

não existem zeros.Senão vejamos
Completando o quadrado,
As coordenadas do vertice da parabola são
O eixo de simetria é a reta

.Como se pode observar o vertice está acima do eixo Ox, estando parabola virada para cima, o vertice é um mínimo absoluto.Então basta calcular a função para os valores dos extremos do intervalo.
f(-7)=93
f(10)=59
Powered by phpBB © phpBB Group.
phpBB Mobile / SEO by Artodia.