por xdleoskk8 » Sáb Fev 15, 2014 12:29
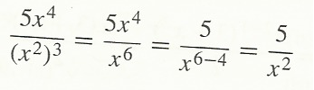
gente, to colocando um anexo de uma expressão aqui que eu n consigo entender a resolução dela, ( pra mim, a regra de divisão de expoentes com msm base, seria subtrai-los, ou seja, ficaria 5 divido por 1 e x elevado a 4 - 6, =x elevado a -2, alguem poderia me explicar isso?
- Anexos
-

- A equação
- duvida.png (26.71 KiB) Exibido 3700 vezes
-
xdleoskk8
- Novo Usuário

-
- Mensagens: 2
- Registrado em: Sáb Fev 15, 2014 12:18
- Formação Escolar: GRADUAÇÃO
- Área/Curso: Engenharia Civil
- Andamento: cursando
por DanielFerreira » Sáb Fev 15, 2014 13:47
Seu raciocínio também está correto! É que a resposta final pode ser representada por mais de uma forma.
"Sabedoria é saber o que fazer;
habilidade é saber como fazer;
virtude é fazer."
(David S. Jordan)
--------------------------------------------------------------------------------
-
DanielFerreira
- Colaborador - em formação

-
- Mensagens: 1732
- Registrado em: Qui Jul 23, 2009 21:34
- Localização: Mangaratiba - RJ
- Formação Escolar: GRADUAÇÃO
- Área/Curso: Licenciatura em Matemática - IFRJ
- Andamento: formado
-
por xdleoskk8 » Sáb Fev 15, 2014 13:58
Então 5/x² também pode ser representado por 5.x-² ??
-
xdleoskk8
- Novo Usuário

-
- Mensagens: 2
- Registrado em: Sáb Fev 15, 2014 12:18
- Formação Escolar: GRADUAÇÃO
- Área/Curso: Engenharia Civil
- Andamento: cursando
por DanielFerreira » Sáb Fev 15, 2014 14:17
Pode!
"Sabedoria é saber o que fazer;
habilidade é saber como fazer;
virtude é fazer."
(David S. Jordan)
--------------------------------------------------------------------------------
-
DanielFerreira
- Colaborador - em formação

-
- Mensagens: 1732
- Registrado em: Qui Jul 23, 2009 21:34
- Localização: Mangaratiba - RJ
- Formação Escolar: GRADUAÇÃO
- Área/Curso: Licenciatura em Matemática - IFRJ
- Andamento: formado
-
Voltar para Equações
Se chegou até aqui, provavelmente tenha interesse pelos tópicos relacionados abaixo.
Aproveite a leitura. Bons estudos!
-
- Simplificação de expressão
por Cleyson007 » Qui Jan 14, 2010 22:13
- 3 Respostas
- 13199 Exibições
- Última mensagem por MarceloFantini

Sáb Jan 16, 2010 19:12
Estatística
-
- Simplificação de expressão
por maria cleide » Dom Mai 08, 2011 17:14
- 1 Respostas
- 1421 Exibições
- Última mensagem por Molina

Dom Mai 08, 2011 17:49
Polinômios
-
- Simplificação de expressão.
por Sobreira » Qui Ago 22, 2013 01:53
- 2 Respostas
- 1494 Exibições
- Última mensagem por Sobreira

Qui Ago 22, 2013 18:12
Aritmética
-
- Simplificação(UNIFOR)-A expressão
por wgf » Seg Mai 27, 2013 20:26
- 4 Respostas
- 9857 Exibições
- Última mensagem por DanielFerreira

Ter Mai 01, 2018 22:54
Álgebra Elementar
-
- simplificação de expressão entre conjuntos
por jojo » Ter Abr 06, 2010 16:49
- 1 Respostas
- 4042 Exibições
- Última mensagem por Lucio Carvalho

Ter Abr 06, 2010 21:26
Álgebra Elementar
Usuários navegando neste fórum: Nenhum usuário registrado e 6 visitantes
Assunto:
(FGV) ... função novamente rs
Autor:
my2009 - Qua Dez 08, 2010 21:48
Uma função polinomial f do 1° grau é tal que f(3) = 6 e f(4) = 8.Portanto o valor de f(10) é :
Assunto:
(FGV) ... função novamente rs
Autor: Anonymous - Qui Dez 09, 2010 17:25
Uma função de 1º grau é dada por

.
Temos que para

,

e para

,

.

Ache o valor de

e

, monte a função e substitua

por

.
Assunto:
(FGV) ... função novamente rs
Autor:
Pinho - Qui Dez 16, 2010 13:57
my2009 escreveu:Uma função polinomial f do 1° grau é tal que f(3) = 6 e f(4) = 8.Portanto o valor de f(10) é :
f(x)= 2.x
f(3)=2.3=6
f(4)=2.4=8
f(10)=2.10=20
Assunto:
(FGV) ... função novamente rs
Autor:
dagoth - Sex Dez 17, 2010 11:55
isso ai foi uma questao da FGV?
haahua to precisando trocar de faculdade.
Assunto:
(FGV) ... função novamente rs
Autor:
Thiago 86 - Qua Mar 06, 2013 23:11
Saudações!
ví suaquestão e tentei resolver, depois você conta-me se eu acertei.
Uma função de 1º grau é dada por y=3a+b
Resposta :
3a+b=6 x(4)
4a+b=8 x(-3)
12a+4b=24
-12a-3b=-24
b=0
substituindo b na 1°, ttenho que: 3a+b=6
3a+0=6
a=2
substituindo em: y=3a+b
y=30+0
y=30

Powered by phpBB © phpBB Group.
phpBB Mobile / SEO by Artodia.