por engrangel » Qua Abr 18, 2012 15:46
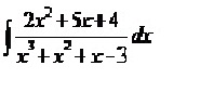
gostaria de saber se alguem pode me informar uma previa de qual o primeiro passo para se resolver questoes envolvendo integrais por frações parciais. Pois estou dando inicio a esse assunto , mas nao consigo acompanha-lo. segue uma questão e gostaria se alguem soubesse responder , postasse o passo a passo da questao para um melhor entendimento.
questao:
- Anexos
-

- Sem título.jpg (6.04 KiB) Exibido 2959 vezes
-
engrangel
- Novo Usuário

-
- Mensagens: 2
- Registrado em: Qua Abr 18, 2012 15:07
- Formação Escolar: GRADUAÇÃO
- Área/Curso: engenharia civil
- Andamento: cursando
por LuizAquino » Qui Abr 19, 2012 14:53
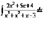
engrangel escreveu:gostaria de saber se alguem pode me informar uma previa de qual o primeiro passo para se resolver questoes envolvendo integrais por frações parciais. Pois estou dando inicio a esse assunto , mas nao consigo acompanha-lo. segue uma questão e gostaria se alguem soubesse responder , postasse o passo a passo da questao para um melhor entendimento.

- figura1.jpg (6.04 KiB) Exibido 2949 vezes
Se você deseja estudar esse conteúdo, então eu gostaria de recomendar as videoaulas "29. Cálculo I - Integração por Frações Parciais (Caso I e II)" e "30. Cálculo I - Integração por Frações Parciais (Caso III e IV)". Elas videoaulas estão disponíveis em meu canal no YouTube:
http://www.youtube.com/LCMAquinoAlém disso, para estudar a resolução dessa integral você pode usar um programa. Por exemplo, o
SAGE, o Mathematica, o Maple, etc.
Alguns desses programas são disponibilizados também na forma de uma página na internet. É o caso do
SAGE Notebook e do Mathematica. Por exemplo, siga os passos abaixo para conferir a resolução.
- Acesse a página: http://www.wolframalpha.com/
- No campo de entrada, digite:
- Código: Selecionar todos
integrate (2x^2 + 5x + 4)/(x^3 + x^2 + x - 3) dx
- Clique no botão de igual ao lado do campo de entrada.
- Espere aparecer o resultado da derivada. Clique então no botão "Show steps" que fica ao lado do resultado.
- Pronto! Agora basta estudar o procedimento.
Por fim, para que você possa digitar as notações adequadas aqui no fórum, eu aproveito para indicar o seguinte tópico:
DICA: Escrevendo Fórmulas com LaTeX via BBCodeviewtopic.php?f=9&t=74
-

LuizAquino
- Colaborador Moderador - Professor

-
- Mensagens: 2654
- Registrado em: Sex Jan 21, 2011 09:11
- Localização: Teófilo Otoni - MG
- Formação Escolar: PÓS-GRADUAÇÃO
- Área/Curso: Mestrado - Modelagem Computacional
- Andamento: formado
-
por engrangel » Qui Abr 19, 2012 17:47
cara
obrigado pela dica e pelas informações, me ajudou muito.
-
engrangel
- Novo Usuário

-
- Mensagens: 2
- Registrado em: Qua Abr 18, 2012 15:07
- Formação Escolar: GRADUAÇÃO
- Área/Curso: engenharia civil
- Andamento: cursando
Voltar para Cálculo: Limites, Derivadas e Integrais
Se chegou até aqui, provavelmente tenha interesse pelos tópicos relacionados abaixo.
Aproveite a leitura. Bons estudos!
-
- Frações parciais.
por 380625 » Sex Jul 05, 2013 15:18
- 5 Respostas
- 3177 Exibições
- Última mensagem por young_jedi

Sáb Jul 13, 2013 10:41
Álgebra Elementar
-
- frações parciais
por fasaatyro » Qui Dez 04, 2014 09:18
- 1 Respostas
- 1164 Exibições
- Última mensagem por lucas_carvalho

Qui Dez 04, 2014 11:28
Cálculo: Limites, Derivadas e Integrais
-
- Integral por Frações Parciais
por Bruhh » Qua Set 29, 2010 18:20
- 2 Respostas
- 5420 Exibições
- Última mensagem por Bruhh

Qui Set 30, 2010 08:40
Cálculo: Limites, Derivadas e Integrais
-
- [integral] fraçoes parciais
por ewald » Qui Set 08, 2011 15:10
- 1 Respostas
- 2133 Exibições
- Última mensagem por Neperiano

Qui Set 08, 2011 15:47
Cálculo: Limites, Derivadas e Integrais
-
- integral frações parciais
por paolaads » Seg Out 22, 2012 21:08
- 3 Respostas
- 2485 Exibições
- Última mensagem por MarceloFantini

Ter Out 23, 2012 18:56
Cálculo: Limites, Derivadas e Integrais
Usuários navegando neste fórum: Nenhum usuário registrado e 60 visitantes
Assunto:
Princípio da Indução Finita
Autor:
Fontelles - Dom Jan 17, 2010 14:42
Não sei onde este tópico se encaixaria. Então me desculpem.
Eu não entendi essa passagem, alguém pode me explicar?

O livro explica da seguinte forma.
1°) P(1) é verdadeira, pois

2°) Admitamos que

, seja verdadeira:

(hipótese da indução)
e provemos que

Temos: (Nessa parte)

Assunto:
Princípio da Indução Finita
Autor:
MarceloFantini - Seg Jan 18, 2010 01:55
Boa noite Fontelles.
Não sei se você está familiarizado com o
Princípio da Indução Finita, portanto vou tentar explicar aqui.
Ele dá uma equação, no caso:
E pergunta: ela vale para todo n? Como proceder: no primeiro passo, vemos se existe pelo menos um caso na qual ela é verdadeira:
Portanto, existe pelo menos um caso para o qual ela é verdadeira. Agora, supomos que

seja verdadeiro, e pretendemos provar que também é verdadeiro para

.
Daí pra frente, ele usou o primeiro membro para chegar em uma conclusão que validava a tese. Lembre-se: nunca saia da tese.
Espero ter ajudado.
Um abraço.
Assunto:
Princípio da Indução Finita
Autor:
Fontelles - Seg Jan 18, 2010 02:28
Mas, Fantini, ainda fiquei em dúvida na passagem que o autor fez (deixei uma msg entre o parêntese).
Obrigado pela ajuda, mesmo assim.
Abraço!
Assunto:
Princípio da Indução Finita
Autor:
Fontelles - Qui Jan 21, 2010 11:32
Galera, ajuda aí!
Por falar nisso, alguém conhece algum bom material sobre o assunto. O livro do Iezzi, Matemática Elementar vol. 1 não está tão bom.
Assunto:
Princípio da Indução Finita
Autor:
MarceloFantini - Qui Jan 21, 2010 12:25
Boa tarde Fontelles!
Ainda não estou certo de qual é a sua dúvida, mas tentarei novamente.
O que temos que provar é isso:

, certo? O autor começou do primeiro membro:
Isso é verdadeiro, certo? Ele apenas aplicou a distributiva. Depois, partiu para uma desigualdade:
Que é outra verdade. Agora, com certeza:
Agora, como

é

a

, e este por sua vez é sempre

que

, logo:
Inclusive, nunca é igual, sempre maior.
Espero (dessa vez) ter ajudado.
Um abraço.
Assunto:
Princípio da Indução Finita
Autor:
Caeros - Dom Out 31, 2010 10:39
Por curiosidade estava estudando indução finita e ao analisar a questão realmente utilizar a desigualdade apresentada foi uma grande sacada para este problema, só queria tirar uma dúvida sobre a sigla (c.q.d), o que significa mesmo?
Assunto:
Princípio da Indução Finita
Autor:
andrefahl - Dom Out 31, 2010 11:37
c.q.d. = como queriamos demonstrar =)
Assunto:
Princípio da Indução Finita
Autor:
Abelardo - Qui Mai 05, 2011 17:33
Fontelles, um bom livro para quem ainda está ''pegando'' o assunto é:'' Manual de Indução Matemática - Luís Lopes''. É baratinho e encontras na net com facilidade. Procura também no site da OBM, vais encontrar com facilidade material sobre PIF... em alguns sites que preparam alunos para colégios militares em geral também tem excelentes materiais.
Assunto:
Princípio da Indução Finita
Autor:
MarceloFantini - Qui Mai 05, 2011 20:05
Abelardo, faz 1 ano que o Fontelles não visita o site, da próxima vez verifique as datas.
Assunto:
Princípio da Indução Finita
Autor:
Vennom - Qui Abr 26, 2012 23:04
MarceloFantini escreveu:Abelardo, faz 1 ano que o Fontelles não visita o site, da próxima vez verifique as datas.
Rpz, faz um ano que o fulano não visita o site, mas ler esse comentário dele enquanto respondia a outro tópico me ajudou. hAUEhUAEhUAEH obrigado, Marcelo. Sua explicação de indução finita me sanou uma dúvida sobre outra coisa.

Powered by phpBB © phpBB Group.
phpBB Mobile / SEO by Artodia.