por muriloxavier » Ter Jan 17, 2023 18:28
Fala pessoal tudo bem?
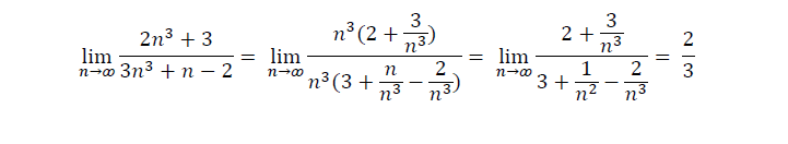
preciso muito da ajuda para entender como resolver esse exercicio passo a passo, nao so o resultado.
é para saber o limite dessa funcao,
basicamente descobrir o valor final dela.
eu sei que é 2/3, mas nao consigo entender como chegar nessa parte.
tenho uma meia solucao que o professor mandou, mas nao entendi as regras para chegar nisso.
por favor preciso de ajuda
- Anexos
-

- essa a funcao
- limite2.png (6.28 KiB) Exibido 10050 vezes
-
muriloxavier
- Novo Usuário

-
- Mensagens: 1
- Registrado em: Dom Dez 11, 2022 17:26
- Formação Escolar: ENSINO MÉDIO PROFISSIONALIZANTE
- Área/Curso: exatas
- Andamento: cursando
por Cleyson007 » Qui Mai 04, 2023 12:38
Bom dia!
Foi feito o seguinte:
* Colocou-se o
n³ como fator comum em evidência da fração;
** Ele foi simplificado dado que aparece no numerador e também no denominador;
*** Repare que

e que o numerador e o denominador da fração estão em função de
n² e
n³. Dividir um numerador por um número muito grande faz tender o resultado à 0. Dessa forma, você chega ao limite de 2/3 quando n tende a infinito. O resultado dessa constante é a própria constante.
Qualquer dúvida estou a disposição.
Cleyson007
-

Cleyson007
- Colaborador Voluntário

-
- Mensagens: 1228
- Registrado em: Qua Abr 30, 2008 00:08
- Formação Escolar: GRADUAÇÃO
- Área/Curso: Matemática UFJF
- Andamento: formado
Voltar para Cálculo: Limites, Derivadas e Integrais
Se chegou até aqui, provavelmente tenha interesse pelos tópicos relacionados abaixo.
Aproveite a leitura. Bons estudos!
-
- [Funcoes] Descobrir o domínio da função
por CarlosAlberto » Qui Out 20, 2016 16:22
- 1 Respostas
- 3489 Exibições
- Última mensagem por petras

Seg Dez 05, 2016 18:35
Funções
-
- Função para descobrir primos grandes (200 dígitos ou +)
por imaia » Qui Set 06, 2012 17:56
- 2 Respostas
- 2655 Exibições
- Última mensagem por Renato_RJ

Sex Set 07, 2012 04:37
Funções
-
- Como faço pra descobrir esta função e o seu grau?
por Ronaldobb » Qua Set 19, 2012 15:07
- 1 Respostas
- 1991 Exibições
- Última mensagem por MarceloFantini

Qua Set 19, 2012 22:47
Funções
-
- [Ponto Crítico] Dificuldade com Função de 2 Variáveis
por Guilhermeds » Qua Mai 30, 2012 16:40
- 2 Respostas
- 3198 Exibições
- Última mensagem por Guilhermeds

Qua Mai 30, 2012 17:39
Cálculo: Limites, Derivadas e Integrais
-
- [Função 2º grau] Dificuldade em resolver questões do tipo
por Richard Oliveira » Seg Nov 07, 2011 16:17
- 5 Respostas
- 3418 Exibições
- Última mensagem por Richard Oliveira

Seg Nov 07, 2011 21:05
Funções
Usuários navegando neste fórum: Nenhum usuário registrado e 26 visitantes
Assunto:
função demanda
Autor:
ssousa3 - Dom Abr 03, 2011 20:55
alguém poderia me ajudar nesse exercício aqui Uma loja de CDs adquire cada unidade por R$20,00 e a revende por R$30,00. Nestas condições,
a quantidade mensal que consegue vender é 500 unidades. O proprietário estima que, reduzindo o preço para R$28,00, conseguirá vender 600 unidades por mês.
a) Obtenha a função demanda, supondo ser linear
Eu faço ensino médio mas compro apostilas de concursos para me preparar para mercado de trabalho e estudar sozinho não é fácil. Se alguém puder me ajudar aqui fico grato
Assunto:
função demanda
Autor:
ssousa3 - Seg Abr 04, 2011 14:30
Gente alguém por favor me ensine a calcular a fórmula da função demanda

Powered by phpBB © phpBB Group.
phpBB Mobile / SEO by Artodia.