por recollino » Sex Dez 18, 2009 16:49
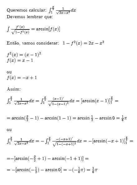
![\int_{1}^{3/2}f(x)=\int_{1}^{3/2} dx/\sqrt[2]{2x-x^2} \int_{1}^{3/2}f(x)=\int_{1}^{3/2} dx/\sqrt[2]{2x-x^2}](/latexrender/pictures/3ab166d4ac7d78a2a5ac2c86c52703c2.png)
já fiz por mudança de variável, mas não consigo chegar ao resultado esperado.
agradeço desde já ...
-
recollino
- Novo Usuário

-
- Mensagens: 2
- Registrado em: Sex Dez 18, 2009 12:50
- Formação Escolar: GRADUAÇÃO
- Área/Curso: Bacharel em Engenharia Química
- Andamento: cursando
por recollino » Sáb Dez 19, 2009 03:51
É isso mesmo !
Mtoo obrigada !
me ajudooou sim ... estava a dias com esse exercício na cabeça! ;]
Até maiiis
-
recollino
- Novo Usuário

-
- Mensagens: 2
- Registrado em: Sex Dez 18, 2009 12:50
- Formação Escolar: GRADUAÇÃO
- Área/Curso: Bacharel em Engenharia Química
- Andamento: cursando
Voltar para Cálculo: Limites, Derivadas e Integrais
Se chegou até aqui, provavelmente tenha interesse pelos tópicos relacionados abaixo.
Aproveite a leitura. Bons estudos!
-
- me ajuda nessa integral
por giboia90 » Sex Jun 14, 2013 13:30
- 2 Respostas
- 2776 Exibições
- Última mensagem por giboia90

Sex Jun 14, 2013 19:02
Cálculo: Limites, Derivadas e Integrais
-
- ajuda nessa questão
por zenildo » Dom Jun 05, 2016 23:36
- 4 Respostas
- 5046 Exibições
- Última mensagem por Thiago1986Iz

Dom Jul 17, 2016 17:07
Trigonometria
-
- AJuda nessa função
por joaouli1 » Qua Fev 27, 2019 14:05
- 1 Respostas
- 5104 Exibições
- Última mensagem por Gebe

Sex Mar 01, 2019 15:38
Funções
-
- Alguem me ajuda nessa equação exponencial
por raphael11234 » Qua Jun 08, 2016 00:07
- 1 Respostas
- 4753 Exibições
- Última mensagem por Cleyson007

Qua Jun 08, 2016 15:20
Equações
-
- [Limites]Ajuda nessa questão sobre limite
por IlgssonBraga » Sáb Jan 25, 2014 15:53
- 1 Respostas
- 3445 Exibições
- Última mensagem por Russman

Sáb Jan 25, 2014 17:51
Cálculo: Limites, Derivadas e Integrais
Usuários navegando neste fórum: Nenhum usuário registrado e 52 visitantes
Assunto:
Unesp - 95 Números Complexos
Autor:
Alucard014 - Dom Ago 01, 2010 18:22
(UNESP - 95) Seja L o Afixo de um Número complexo

em um sistema de coordenadas cartesianas xOy. Determine o número complexo b , de módulo igual a 1 , cujo afixo M pertence ao quarto quadrante e é tal que o ângulo LÔM é reto.
Assunto:
Unesp - 95 Números Complexos
Autor:
MarceloFantini - Qui Ago 05, 2010 17:27
Seja

o ângulo entre o eixo horizontal e o afixo

. O triângulo é retângulo com catetos

e

, tal que

. Seja

o ângulo complementar. Então

. Como

, o ângulo que o afixo

formará com a horizontal será

, mas negativo pois tem de ser no quarto quadrante. Se

, então

. Como módulo é um:

.
Logo, o afixo é

.
Powered by phpBB © phpBB Group.
phpBB Mobile / SEO by Artodia.