-
Luciana
- Novo Usuário

-
- Mensagens: 2
- Registrado em: Qua Jun 02, 2010 00:32
- Formação Escolar: GRADUAÇÃO
- Andamento: formado
por genivaldouff » Seg Jun 07, 2010 02:20
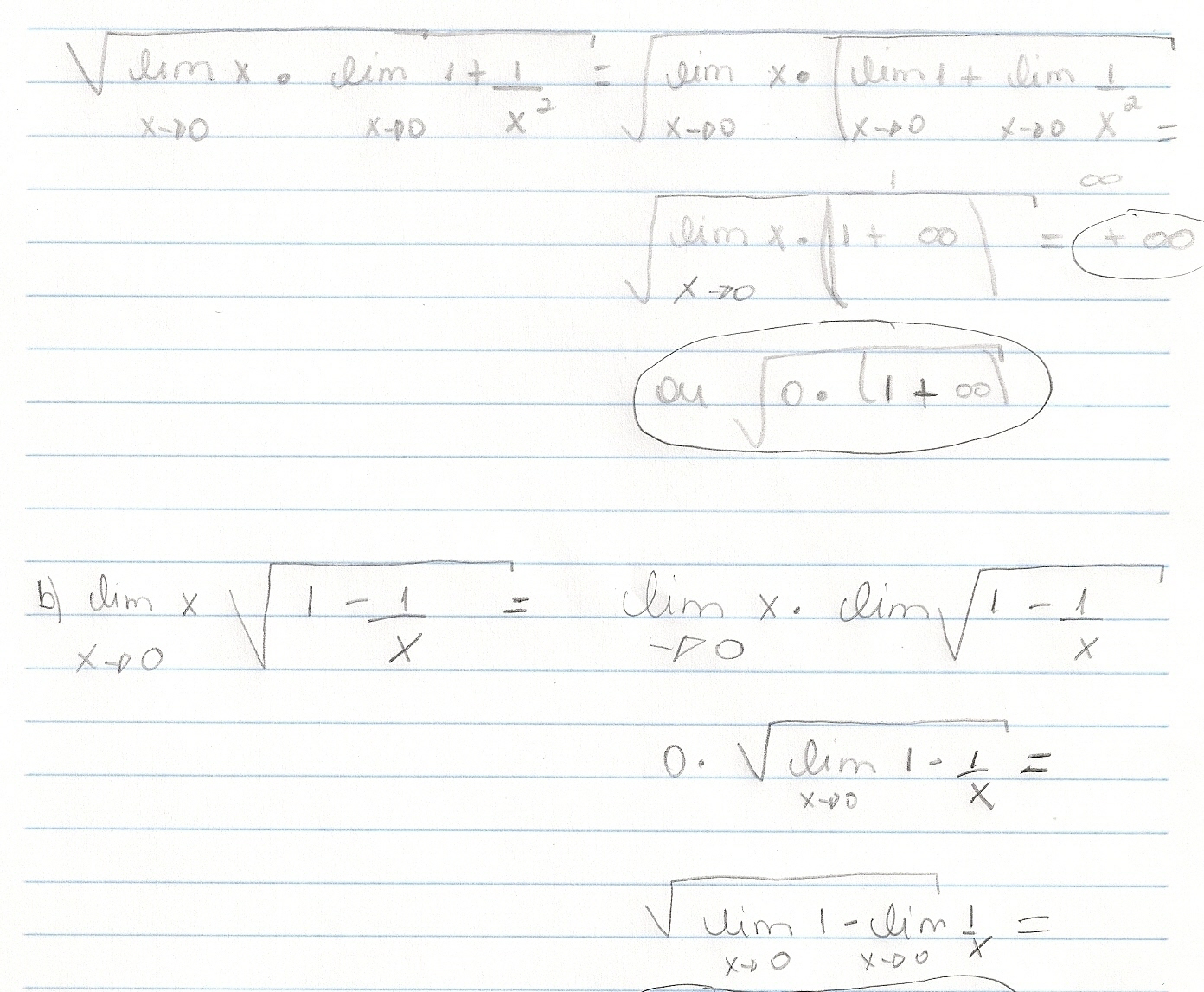
Sabendo que (1-x)(1+x)=1-x^2
limx*sqrt(1-1/x)=x*sqrt[(1-x^2)/(1+x)] então aplicando limite teremos 0 * sqrt(1) então limite será 0.
-
genivaldouff
- Novo Usuário

-
- Mensagens: 1
- Registrado em: Seg Jun 07, 2010 02:10
- Formação Escolar: SUPLETIVO
- Área/Curso: engenharia
- Andamento: formado
Voltar para Cálculo: Limites, Derivadas e Integrais
Se chegou até aqui, provavelmente tenha interesse pelos tópicos relacionados abaixo.
Aproveite a leitura. Bons estudos!
-
- [Limites] - Questões teoricas
por Scheu » Sex Fev 03, 2012 00:16
- 1 Respostas
- 1345 Exibições
- Última mensagem por LuizAquino

Sex Fev 03, 2012 00:38
Cálculo: Limites, Derivadas e Integrais
-
- [Limites] - Questões teóricas 2
por Scheu » Sex Fev 03, 2012 00:32
- 1 Respostas
- 1350 Exibições
- Última mensagem por LuizAquino

Sex Fev 03, 2012 00:58
Cálculo: Limites, Derivadas e Integrais
-
- [Dúvida] Questões de limites
por Jhonata » Qua Mai 29, 2013 19:02
- 0 Respostas
- 1039 Exibições
- Última mensagem por Jhonata

Qua Mai 29, 2013 19:02
Cálculo: Limites, Derivadas e Integrais
-
- [limites] reciso de ajuda nessa questão de limites raiz quad
por alexia » Ter Nov 15, 2011 19:55
- 1 Respostas
- 5406 Exibições
- Última mensagem por LuizAquino

Qua Nov 16, 2011 15:16
Cálculo: Limites, Derivadas e Integrais
-
- [Limites]Preciso de ajuda para calcular alguns limites
por Pessoa Estranha » Ter Jul 16, 2013 17:15
- 2 Respostas
- 4749 Exibições
- Última mensagem por LuizAquino

Qua Jul 17, 2013 09:12
Cálculo: Limites, Derivadas e Integrais
Usuários navegando neste fórum: Nenhum usuário registrado e 4 visitantes
Assunto:
Exercicios de polinomios
Autor:
shaft - Qua Jun 30, 2010 17:30
Então, o exercicio pede para encontrar

.
Bom, tentei resolver a questão acima desenvolvendo as duas partes em ( )...Logo dps cheguei em um resultado q nao soube o q fazer mais.
Se vcs puderem ajudar !
Assunto:
Exercicios de polinomios
Autor:
Douglasm - Qua Jun 30, 2010 17:53
Bom, se desenvolvermos isso, encontramos:
Para que os polinômios sejam iguais, seus respectivos coeficientes devem ser iguais (ax = bx ; ax² = bx², etc.):
Somando a primeira e a segunda equação:
Finalmente:
Até a próxima.
Powered by phpBB © phpBB Group.
phpBB Mobile / SEO by Artodia.