por jefersonab » Sáb Mar 26, 2016 17:27
Podem ajudar com esses cálculos?


Agradeço a força.
-
jefersonab
- Novo Usuário

-
- Mensagens: 9
- Registrado em: Sex Mar 25, 2016 20:03
- Formação Escolar: GRADUAÇÃO
- Área/Curso: Matemática
- Andamento: cursando
por jefersonab » Dom Mar 27, 2016 22:35
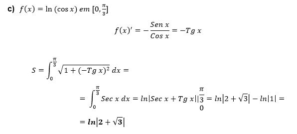
Fiz assim:
- Anexos
-

Editado pela última vez por
jefersonab em Dom Mar 27, 2016 22:45, em um total de 1 vez.
-
jefersonab
- Novo Usuário

-
- Mensagens: 9
- Registrado em: Sex Mar 25, 2016 20:03
- Formação Escolar: GRADUAÇÃO
- Área/Curso: Matemática
- Andamento: cursando
por jefersonab » Dom Mar 27, 2016 22:36
E o outro:
- Anexos
-

Editado pela última vez por
jefersonab em Dom Mar 27, 2016 22:46, em um total de 1 vez.
-
jefersonab
- Novo Usuário

-
- Mensagens: 9
- Registrado em: Sex Mar 25, 2016 20:03
- Formação Escolar: GRADUAÇÃO
- Área/Curso: Matemática
- Andamento: cursando
por jefersonab » Dom Mar 27, 2016 22:37
E esse:
- Anexos
-

-
jefersonab
- Novo Usuário

-
- Mensagens: 9
- Registrado em: Sex Mar 25, 2016 20:03
- Formação Escolar: GRADUAÇÃO
- Área/Curso: Matemática
- Andamento: cursando
por jefersonab » Dom Mar 27, 2016 22:38
Se tiver algum erro, por favor, corrijam e me digam onde errei!
Grato.
-
jefersonab
- Novo Usuário

-
- Mensagens: 9
- Registrado em: Sex Mar 25, 2016 20:03
- Formação Escolar: GRADUAÇÃO
- Área/Curso: Matemática
- Andamento: cursando
Voltar para Cálculo: Limites, Derivadas e Integrais
Se chegou até aqui, provavelmente tenha interesse pelos tópicos relacionados abaixo.
Aproveite a leitura. Bons estudos!
-
- Comprimento de Arcos
por petras » Seg Nov 28, 2016 18:48
- 0 Respostas
- 1456 Exibições
- Última mensagem por petras

Seg Nov 28, 2016 18:48
Trigonometria
-
- Cálculo de comprimento
por Micheletti » Sáb Abr 07, 2018 23:26
- 0 Respostas
- 3803 Exibições
- Última mensagem por Micheletti

Sáb Abr 07, 2018 23:26
Cálculo: Limites, Derivadas e Integrais
-
- Calculo do comprimento do arco.
por brunojorge29 » Seg Abr 23, 2012 11:21
- 3 Respostas
- 2952 Exibições
- Última mensagem por Russman

Seg Abr 23, 2012 22:32
Cálculo: Limites, Derivadas e Integrais
-
- [comprimento da curva] Exercicio de comprimento do grafico?
por didone » Sex Abr 12, 2013 17:44
- 1 Respostas
- 1880 Exibições
- Última mensagem por young_jedi

Seg Abr 15, 2013 21:44
Cálculo: Limites, Derivadas e Integrais
-
- ARCOS
por MERLAYNE » Qua Abr 04, 2012 23:28
- 1 Respostas
- 1546 Exibições
- Última mensagem por MarceloFantini

Qua Abr 04, 2012 23:54
Trigonometria
Usuários navegando neste fórum: Nenhum usuário registrado e 1 visitante
Assunto:
(FGV) ... função novamente rs
Autor:
my2009 - Qua Dez 08, 2010 21:48
Uma função polinomial f do 1° grau é tal que f(3) = 6 e f(4) = 8.Portanto o valor de f(10) é :
Assunto:
(FGV) ... função novamente rs
Autor: Anonymous - Qui Dez 09, 2010 17:25
Uma função de 1º grau é dada por

.
Temos que para

,

e para

,

.

Ache o valor de

e

, monte a função e substitua

por

.
Assunto:
(FGV) ... função novamente rs
Autor:
Pinho - Qui Dez 16, 2010 13:57
my2009 escreveu:Uma função polinomial f do 1° grau é tal que f(3) = 6 e f(4) = 8.Portanto o valor de f(10) é :
f(x)= 2.x
f(3)=2.3=6
f(4)=2.4=8
f(10)=2.10=20
Assunto:
(FGV) ... função novamente rs
Autor:
dagoth - Sex Dez 17, 2010 11:55
isso ai foi uma questao da FGV?
haahua to precisando trocar de faculdade.
Assunto:
(FGV) ... função novamente rs
Autor:
Thiago 86 - Qua Mar 06, 2013 23:11
Saudações!
ví suaquestão e tentei resolver, depois você conta-me se eu acertei.
Uma função de 1º grau é dada por y=3a+b
Resposta :
3a+b=6 x(4)
4a+b=8 x(-3)
12a+4b=24
-12a-3b=-24
b=0
substituindo b na 1°, ttenho que: 3a+b=6
3a+0=6
a=2
substituindo em: y=3a+b
y=30+0
y=30

Powered by phpBB © phpBB Group.
phpBB Mobile / SEO by Artodia.