por mariazinha » Dom Mai 01, 2011 17:16
[/tex]
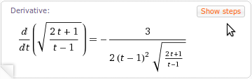
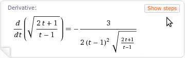
![\sqrt[2]{2t+1/t-1}
tentei fazer [tex]{(2t+1/t-1)}^{1/2} \sqrt[2]{2t+1/t-1}
tentei fazer [tex]{(2t+1/t-1)}^{1/2}](/latexrender/pictures/9b44380c6b4ba48272b7523eea7b3cf8.png)
=

*

depois não consigo continuar...
-
mariazinha
- Novo Usuário

-
- Mensagens: 1
- Registrado em: Dom Mai 01, 2011 16:51
- Formação Escolar: GRADUAÇÃO
- Área/Curso: bacharel em engenharia
- Andamento: cursando
por LuizAquino » Seg Mai 02, 2011 00:36
Para conferir a sua solução você pode usar a opção abaixo.
1) Acesse a página:
http://www.wolframalpha.com/2) Digite no campo de entrada adequado o comando:

- wolframalpha_campo_de_entrada.png (6.52 KiB) Exibido 750 vezes
3) Clique no símbolo de igual.
4) Pronto! É só conferir a sua resposta.
5) Para estudar o passo-a-passo da solução, clique no botão "Show steps".

- wolframalpha_exemplo.png (7.5 KiB) Exibido 750 vezes
SugestãoEu acredito que o tópico abaixo possa lhe interessar:
Curso de Cálculo I no YouTubeviewtopic.php?f=137&t=4280
-

LuizAquino
- Colaborador Moderador - Professor

-
- Mensagens: 2654
- Registrado em: Sex Jan 21, 2011 09:11
- Localização: Teófilo Otoni - MG
- Formação Escolar: PÓS-GRADUAÇÃO
- Área/Curso: Mestrado - Modelagem Computacional
- Andamento: formado
-
Voltar para Cálculo: Limites, Derivadas e Integrais
Se chegou até aqui, provavelmente tenha interesse pelos tópicos relacionados abaixo.
Aproveite a leitura. Bons estudos!
-
- [Derivadas] Dificuldade para calcular derivadas CDI 1
por srmai » Seg Nov 04, 2013 01:21
- 0 Respostas
- 2170 Exibições
- Última mensagem por srmai

Seg Nov 04, 2013 01:21
Cálculo: Limites, Derivadas e Integrais
-
- [Derivadas] Interpretação de derivadas e funções
por vinik1 » Qua Out 12, 2011 16:03
- 5 Respostas
- 7276 Exibições
- Última mensagem por vinik1

Qui Out 13, 2011 10:48
Cálculo: Limites, Derivadas e Integrais
-
- [Derivadas] Derivadas em pontos dados
por MarlonMO250 » Sex Mar 01, 2013 21:02
- 6 Respostas
- 4697 Exibições
- Última mensagem por Russman

Sáb Mar 02, 2013 03:42
Cálculo: Limites, Derivadas e Integrais
-
- (derivadas) derivadas com raiz como se faz
por jana garcia » Qua Jun 25, 2014 00:28
- 1 Respostas
- 2840 Exibições
- Última mensagem por e8group

Qua Jun 25, 2014 01:13
Cálculo: Limites, Derivadas e Integrais
-
- [Derivadas] Derivadas com definição de limites
por concurseironf » Sex Set 05, 2014 18:11
- 1 Respostas
- 1913 Exibições
- Última mensagem por DanielFerreira

Dom Set 07, 2014 22:18
Cálculo: Limites, Derivadas e Integrais
Usuários navegando neste fórum: Nenhum usuário registrado e 4 visitantes
Assunto:
cálculo de limites
Autor:
Hansegon - Seg Ago 25, 2008 11:29
Bom dia.
Preciso de ajuda na solução deste problema, pois só chego ao resultado de 0 sobre 0.
Obrigado
\lim_{x\rightarrow-1} x³ +1/x²-1[/tex]
Assunto:
cálculo de limites
Autor:
Molina - Seg Ago 25, 2008 13:25
Realmente se você jogar o -1 na equação dá 0 sobre 0.
Indeterminações deste tipo você pode resolver por L'Hôpital
que utiliza derivada.
Outro modo é transformar o numerador e/ou denominador
para que não continue dando indeterminado.
Dica: dividir o numerador e o denominador por algum valor é uma forma que normalmente dá certo.
Caso ainda não tenha dado uma

, avisa que eu resolvo.
Bom estudo!
Assunto:
cálculo de limites
Autor:
Guill - Dom Abr 08, 2012 16:03

Powered by phpBB © phpBB Group.
phpBB Mobile / SEO by Artodia.