por Ariel » Dom Set 25, 2016 12:17
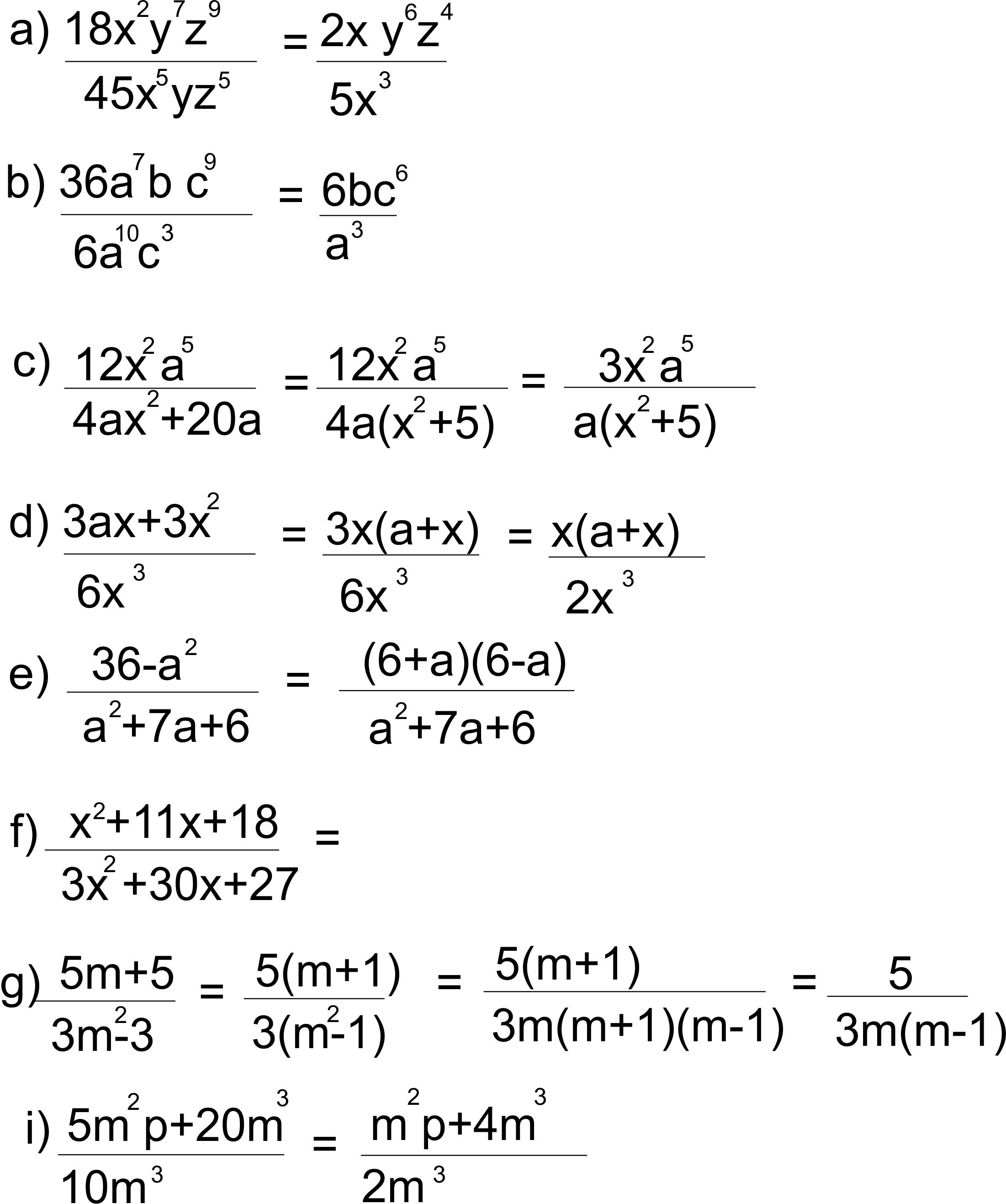
Pessoal, fiz essas equações até onde eu pude ir. Se alguém puder me ajudar a ver os erros, ou dizer se está certo, agradeço muito!! Abs!!
- Anexos
-

-
Ariel
- Usuário Dedicado

-
- Mensagens: 37
- Registrado em: Dom Nov 09, 2014 16:33
- Formação Escolar: ENSINO FUNDAMENTAL I
- Andamento: cursando
por petras » Dom Dez 04, 2016 13:59
-
petras
- Usuário Parceiro

-
- Mensagens: 58
- Registrado em: Sex Jan 22, 2016 21:19
- Formação Escolar: GRADUAÇÃO
- Andamento: formado
por Ariel » Sex Dez 09, 2016 00:26
Muito obrigada! Vou estudar e tentar entender!
Abração!!
-
Ariel
- Usuário Dedicado

-
- Mensagens: 37
- Registrado em: Dom Nov 09, 2014 16:33
- Formação Escolar: ENSINO FUNDAMENTAL I
- Andamento: cursando
Voltar para Polinômios
Se chegou até aqui, provavelmente tenha interesse pelos tópicos relacionados abaixo.
Aproveite a leitura. Bons estudos!
-
- Simplifique as frações algébricas 02
por Ariel » Qua Set 28, 2016 21:21
- 0 Respostas
- 1636 Exibições
- Última mensagem por Ariel

Qua Set 28, 2016 21:21
Álgebra Elementar
-
- Simplifique as frações algébricas
por Ariel » Qui Set 29, 2016 13:52
- 0 Respostas
- 1324 Exibições
- Última mensagem por Ariel

Qui Set 29, 2016 13:52
Funções
-
- simplifique as frações algébricas, fatorando os termos
por stanley tiago » Ter Fev 01, 2011 12:41
- 5 Respostas
- 3937 Exibições
- Última mensagem por DanielFerreira

Qua Fev 09, 2011 12:56
Sistemas de Equações
-
- simplifique as expressões algébricas
por wattflix » Dom Out 04, 2015 17:12
- 1 Respostas
- 2067 Exibições
- Última mensagem por nakagumahissao

Dom Out 04, 2015 21:43
Polinômios
-
- frações algebricas
por tamirosa » Qui Out 29, 2009 20:11
- 1 Respostas
- 3342 Exibições
- Última mensagem por Molina

Sex Out 30, 2009 11:37
Álgebra Elementar
Usuários navegando neste fórum: Nenhum usuário registrado e 6 visitantes
Assunto:
(FGV) ... função novamente rs
Autor:
my2009 - Qua Dez 08, 2010 21:48
Uma função polinomial f do 1° grau é tal que f(3) = 6 e f(4) = 8.Portanto o valor de f(10) é :
Assunto:
(FGV) ... função novamente rs
Autor: Anonymous - Qui Dez 09, 2010 17:25
Uma função de 1º grau é dada por

.
Temos que para

,

e para

,

.

Ache o valor de

e

, monte a função e substitua

por

.
Assunto:
(FGV) ... função novamente rs
Autor:
Pinho - Qui Dez 16, 2010 13:57
my2009 escreveu:Uma função polinomial f do 1° grau é tal que f(3) = 6 e f(4) = 8.Portanto o valor de f(10) é :
f(x)= 2.x
f(3)=2.3=6
f(4)=2.4=8
f(10)=2.10=20
Assunto:
(FGV) ... função novamente rs
Autor:
dagoth - Sex Dez 17, 2010 11:55
isso ai foi uma questao da FGV?
haahua to precisando trocar de faculdade.
Assunto:
(FGV) ... função novamente rs
Autor:
Thiago 86 - Qua Mar 06, 2013 23:11
Saudações!
ví suaquestão e tentei resolver, depois você conta-me se eu acertei.
Uma função de 1º grau é dada por y=3a+b
Resposta :
3a+b=6 x(4)
4a+b=8 x(-3)
12a+4b=24
-12a-3b=-24
b=0
substituindo b na 1°, ttenho que: 3a+b=6
3a+0=6
a=2
substituindo em: y=3a+b
y=30+0
y=30

Powered by phpBB © phpBB Group.
phpBB Mobile / SEO by Artodia.