por pauloadamantino » Sáb Mai 01, 2010 01:56
Prezados senhores,
sou estudante de biologia e preciso de ajuda para desenvolver a seguinte fórmula (fórmula 1 em anexo) de cálculo de probabilidade de identificar animais por meio de marcadores genéticos.
encontrei o site de vocês e por isso peço orientação.
o enunciado é: A probabilidade (P0,N) de que o indivíduo A tenha o mesmo genótipo que o indivíduo B, ao acaso para os marcadores de 1 a N é: (segue a fórmula 1). Onde ri = número de alelos para o marcador i, qij é a frequencia do alelo j do marcador i.
os dados, podem ser dados como no exemplo abaixo (são 11 marcadores e cada um tem 2 alelos):
__________ Alelo1 Alelo2
marcador 1 - 0,5000 0,5000
marcador 2 - 0,5000 0,5000
marcador 3 - 0,5000 0,5000
marcador 4 - 0,4750 0,5250
marcador 5 - 0,4750 0,5250
marcador 6 - 0,4750 0,5250
marcador 7 - 0,4500 0,5500
marcador 8 - 0,4500 0,5500
marcador 9 - 0,5750 0,4250
marcador 10 - 0,5750 0,4250
marcador 11 - 0,5750 0,4250
também existe uma outra fórmula, derivada da primeira:
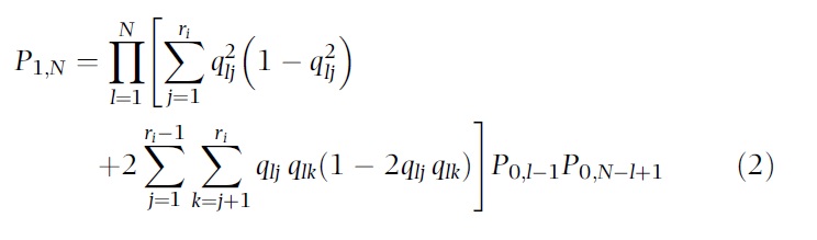
A probabilidade(P1,N) que os indivíduos A e B, genotipados para N marcadores, possuam o mesmo genótipo para todos, exceto 1 marcador ao acaso é (fórmula 2 em anexo)
onde o l-ésimo marcador é diferente para os indivíduos A e B e P0,l-1 e P0,N-l+1 são as probabilidades que os indivíduos A e B tenham genótipos idênticos para os marcadores de l a l-1 e l+1, respectivamente.
meus conhecimentos em matemática não estão me permitindo ir longe com essas fórmulas, é a primeiravez que uso o site por isso preferi anexar as fórmulas
antecipadamente agradeço
Paulo Adamantino (4o ano biologia noturno - Unipinhal - Espírito Santo do Pinhal - SP)
- Anexos
-
[O anexo não pode ser exibido, pois a extensão txt foi desativada pelo administrador.]
-

-

-
pauloadamantino
- Novo Usuário

-
- Mensagens: 3
- Registrado em: Sáb Mai 01, 2010 01:47
- Formação Escolar: GRADUAÇÃO
- Área/Curso: Biologia
- Andamento: cursando
por Elcioschin » Sáb Mai 01, 2010 18:12
Paulo
Assim como você não tem o conhecimento matemático para resolver o seu problema, eu não tenho o conhecimento biológico necessário para entender a sua dúvida.
Vou tentar elucidar a fórmula para você, começando pela 2ª fórmula:
Note que i ou j significam índices de q, isto é q11, q12, q21, etc
a) O símbolo que aparece dentro dos parenteses (parecido com uma letra E) significa SOMATÓRIO.
Embaixo dele aparece j = 1, em cima dele aparece ri e na frente aparece qij^4.
Isto significa que deve-se variar j desde 1 até ri e somar tudo, isto é qi1, qi2 ..... qiri
O símboço ^4 siginifica "elevado à 4ª potência" ---> Isto é o que eu entendí da sua fórmula.
A letra grande parecida com a letra grega pi significa PRODUTÓRIO: neste caso produto de todos os termos com i variando de 1 até N
Garanto a você que uma fórmula destas normalmente é resolvida por um computador, face à grande quantidade de cálculos encolvidos.
Caberá normalmente ao biólogo informar, no programa de cáculo, quais são os valores da tabela e a resposta sairá para ele numa fração de segundos.
Assim, acho que você não deve se preocupar com o uso da fórmula. Deve apenas saber que ela existe e o que significa cada termo dela.
Qualquer dúvida é só você dizer e eu e outros colegas do fórum tentaremos ajudá-lo
-
Elcioschin
- Colaborador Voluntário

-
- Mensagens: 624
- Registrado em: Sáb Ago 01, 2009 10:49
- Formação Escolar: GRADUAÇÃO
- Área/Curso: Engenharia
- Andamento: formado
por pauloadamantino » Sáb Mai 01, 2010 22:32
Pois é, Elcio.
eu gostaria de já ter essa fórmula desenvolvida no excel ,por exemplo.
no meu caso eu preciso usar essa fórmula para calcular as probabilidades.
alguns desses termos eu consigo deduzir usando a tabelinha que eu anexei. Pro exemplo ri=2, N=11 os valores qij são os da tabela para cada marcador.
basicamente eu não entendi quando a fórmula (a 1) coloca dois símbolos de somatório juntos e em um deles menciona o termo qik, quando eu achave que deveriam apenas qij, como vc respondeu.
será que o termo qik se refere a um termo subsequente, digo por exemplo o termo se qij=q11, o termo qik, seria o seguinte= q12?
de qualquer forma agradeço.
Paulo.
-
pauloadamantino
- Novo Usuário

-
- Mensagens: 3
- Registrado em: Sáb Mai 01, 2010 01:47
- Formação Escolar: GRADUAÇÃO
- Área/Curso: Biologia
- Andamento: cursando
por Elcioschin » Sáb Mai 01, 2010 23:08
Paulo
Conforme eu disse antes eu não sei correlacionar a fórmula matemática com os aspectos biológicos (eu não entendo nada de genótipos, marcadores e alelos).
Quanto à fórmula eu a entendo muito bem. Vamos conversar sobre ela:
1) Você diz que ri = 2. Na realidade o que vem escrito na fórmula é ri(r índice i). Isto significa que podem existir vários r: r1, r2, r3, ....etc.
2) Você diz que entende qij mas não sabe o que é qik. Da fórmula vê-se claramente que k = j + 1.
3) Quando aparecem dois somatórios juntos significa que primeiro se faz o somatório de dentro e depois o de fora. Por exemplo, na fórmula (1)
1º somatório: desde k = j+1 até ri
2º somatório: desde i = 1 até i = ri - 1
4) Uma dúvida que eu tive: na fórmula realmente aparece o termo qij elevado ao quadrado e à 4ª potência ?
5) Quanto ao Excel: é perfeitamente possível desenvolver esta fórmula no Excel.
Sugiro o seguinte: estude bem o assunto para saber EXATAMENTE o que significa cada um dos termos da fórmula. Depois contacte pessoalmente um BOM usuário de Excel (um que saiba fazer uso de funções matemáticas, tais como somatório, comando SE, comando SOMASE, expoentes, etc) e explique para ele o que você deseja.Garanto que ele vai conseguir!
-
Elcioschin
- Colaborador Voluntário

-
- Mensagens: 624
- Registrado em: Sáb Ago 01, 2009 10:49
- Formação Escolar: GRADUAÇÃO
- Área/Curso: Engenharia
- Andamento: formado
por Neperiano » Sáb Mai 01, 2010 23:30
Ola
Eu posso ajudar um pouco, entendo alguma coisa de biologia, quanto a matemática não tenho conhecimento suficiente para aquelas formulas e para probabilidade, então vou tentar explicar biologia para o eioshin
Genótipo(resença de material hereditário herdado dos progenitores). seria, por exemplo, porcentagem de descendentes que seriam brancas e negras
50 % Brancos
50 % Negros
Número de alelos seria quantas letras teria o gene (é uma partícula que consta moléculas de DNA), por exemplo, o fenótipo que define o sexo das pessoas são.
XX Mulher
Xy Homem
Ambos apresentam 2 alelos
Na questão ele quer saber
A probabilidade do Individuo A ter o mesmo genótipo do Individuo B
Ou seja se o individuo A tem o genótipo de 50% Loiro qual a probabilidade de o individuo B (que poderia ser o filho) ter 50 % loiro
Espero ter ajudado
Vou tentar pesquisar algo a mais para ajudar
Qualquer duvida
Atenciosamente
Sómente os mortos conhecem o fim da guerra
"Platão"
-

Neperiano
- Colaborador Voluntário

-
- Mensagens: 960
- Registrado em: Seg Jun 16, 2008 17:09
- Formação Escolar: GRADUAÇÃO
- Área/Curso: Engenharia de Produção
- Andamento: cursando
por Elcioschin » Sáb Mai 01, 2010 23:57
Maligno e Paulo
Certamente o Maligno ajudou: já comecei a entender biologia.
Entretanto eu não conheço o suficiente de Excel, para, mesmo entendendo um pouco de biologia, poder transformar aquela fórmula num programinha de Excel.
O ideal é que estas informações iniciais do Maligno mais algumas informaçõe sobre o que significam TODOS os símbolos da fórmula (i, j, k, ri, qij, etc) sejam explicados para um especialista em programação Excel, para que o mesmo possa desenvolver o programa.
-
Elcioschin
- Colaborador Voluntário

-
- Mensagens: 624
- Registrado em: Sáb Ago 01, 2009 10:49
- Formação Escolar: GRADUAÇÃO
- Área/Curso: Engenharia
- Andamento: formado
por pauloadamantino » Dom Mai 02, 2010 01:14
sim aparecem qij elevados à 4ª e a 2ª potência.
posso então considerar que o somatório "de dentro" soma os termos subsequentes aos do somatório de fora?
por exemplo, na tabela que coloquei, com as frequências de cada alelo (1 e 2) de cada marcador. Como são 2 alelos em cada marcador, r=2, n=11 pois são 11 marcadores
para o marcador 4, por exemplo: poderia dizer que o termo qij é 0,475 e o termo qik é o 0,520?
__________ Alelo1 Alelo2
marcador 1 - 0,5000 0,5000
marcador 2 - 0,5000 0,5000
marcador 3 - 0,5000 0,5000
marcador 4 - 0,4750 0,5250
marcador 5 - 0,4750 0,5250
marcador 6 - 0,4750 0,5250
marcador 7 - 0,4500 0,5500
marcador 8 - 0,4500 0,5500
marcador 9 - 0,5750 0,4250
marcador 10 - 0,5750 0,4250
marcador 11 - 0,5750 0,4250
mais uma vez obrigado.
-
pauloadamantino
- Novo Usuário

-
- Mensagens: 3
- Registrado em: Sáb Mai 01, 2010 01:47
- Formação Escolar: GRADUAÇÃO
- Área/Curso: Biologia
- Andamento: cursando
por Elcioschin » Dom Mai 02, 2010 11:14
Paulo
Sim, o somatório de dentro soma os termos subsequentes do somatório de fora.
Quanto à sua última frase tenho apenas uma correção:
Estou entendendo que a coluna "Alelo 1" corresponde a i e a coluna "Alelo 2" corresponde a j
para o marcador 4, por exemplo: poderia dizer que o termo qij é 0,475 e o termo qik é o 0,5250?
Marcador 4 ----> i = 4, j = 4, -----> k = j + 1 = 5
Note que, por coincidência j = 4 é igual a j = 5 ----> 0,5250 ---> isto acontece em vários locais da tabela, também para i
-
Elcioschin
- Colaborador Voluntário

-
- Mensagens: 624
- Registrado em: Sáb Ago 01, 2009 10:49
- Formação Escolar: GRADUAÇÃO
- Área/Curso: Engenharia
- Andamento: formado
Voltar para Estatística
Se chegou até aqui, provavelmente tenha interesse pelos tópicos relacionados abaixo.
Aproveite a leitura. Bons estudos!
-
- Função em biologia
por Brunaaline » Sex Abr 13, 2012 11:05
- 1 Respostas
- 1549 Exibições
- Última mensagem por DanielFerreira

Sex Abr 13, 2012 22:47
Funções
-
- Funçoes em biologia 2
por Brunaaline » Sex Abr 13, 2012 11:16
- 1 Respostas
- 888 Exibições
- Última mensagem por DanielFerreira

Sex Abr 13, 2012 23:00
Funções
-
- funções em biologia 3
por Brunaaline » Sex Abr 13, 2012 11:21
- 1 Respostas
- 1132 Exibições
- Última mensagem por joaofonseca

Sex Abr 13, 2012 16:13
Funções
-
- Estudo de reta e estudo do plano
por Livingstone » Sex Dez 12, 2014 15:17
- 2 Respostas
- 2094 Exibições
- Última mensagem por adauto martins

Qui Dez 18, 2014 11:43
Geometria Analítica
-
- Estudo de reta e estudo do plano
por Livingstone » Sex Dez 12, 2014 15:21
- 0 Respostas
- 1358 Exibições
- Última mensagem por Livingstone

Sex Dez 12, 2014 15:21
Geometria Analítica
Usuários navegando neste fórum: Nenhum usuário registrado e 2 visitantes
Assunto:
Taxa de variação
Autor:
felipe_ad - Ter Jun 29, 2010 19:44
Como resolvo uma questao desse tipo:
Uma usina de britagem produz pó de pedra, que ao ser depositado no solo, forma uma pilha cônica onde a altura é aproximadamente igual a 4/3 do raio da base.
(a) Determinar a razão de variação do volume em relação ao raio da base.
(b) Se o raio da base varia a uma taxa de 20 cm/s, qual a razão de variação do volume quando o raio mede 2 m?
A letra (a) consegui resolver e cheguei no resultado correto de

Porem, nao consegui chegar a um resultado correto na letra (b). A resposta certa é
Alguem me ajuda? Agradeço desde já.
Assunto:
Taxa de variação
Autor:
Elcioschin - Qua Jun 30, 2010 20:47
V = (1/3)*pi*r²*h ----> h = 4r/3
V = (1/3)*pi*r²*(4r/3) ----> V = (4*pi/9)*r³
Derivando:
dV/dr = (4*pi/9)*(3r²) -----> dV/dr = 4pi*r²/3
Para dr = 20 cm/s = 0,2 m/s e R = 2 m ----> dV/0,2 = (4*pi*2²)/3 ----> dV = (3,2/3)*pi ----> dV ~= 1,066*pi m³/s
Assunto:
Taxa de variação
Autor:
Guill - Ter Fev 21, 2012 21:17
Temos que o volume é dado por:
Temos, portanto, o volume em função do raio. Podemos diferenciar implicitamente ambos os lados da equação em função do tempo, para encontrar as derivadas em função do tempo:
Sabendo que a taxa de variação do raio é 0,2 m/s e que queremos ataxa de variação do volume quando o raio for 2 m:

Powered by phpBB © phpBB Group.
phpBB Mobile / SEO by Artodia.