por Anninha » Qui Mar 28, 2013 22:44

Alguém estaria disposto a me ensinar como resolver?
-
Anninha
- Novo Usuário

-
- Mensagens: 4
- Registrado em: Qui Mar 28, 2013 22:34
- Formação Escolar: ENSINO MÉDIO
- Andamento: cursando
por DanielFerreira » Sex Mar 29, 2013 00:56
Olá
Anninha,
seja bem-vinda ao fórum!
Antes de respondê-la, devo informá-la o quão é importante a objetividade no
Título do seu tópico. Evite expressões desse tipo: Help, socorro, ajuda urgente,...
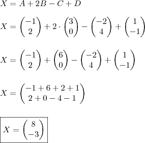
Segue a resolução do item 1):

Quanto ao item 2), a resolução é análoga. Tente concluir, caso contrário retorne!
Atentamente,
Daniel.
"Sabedoria é saber o que fazer;
habilidade é saber como fazer;
virtude é fazer."
(David S. Jordan)
--------------------------------------------------------------------------------
-
DanielFerreira
- Colaborador - em formação

-
- Mensagens: 1732
- Registrado em: Qui Jul 23, 2009 21:34
- Localização: Mangaratiba - RJ
- Formação Escolar: GRADUAÇÃO
- Área/Curso: Licenciatura em Matemática - IFRJ
- Andamento: formado
-
por Anninha » Sex Mar 29, 2013 12:22
Daniel, eu tentei fazer, e o resultado do primeiro deu o mesmo valor. Mas, a segunda questão eu tentei fazer, mas não sei como concluir. Poderia me ensinar como faze-la?
Como fiz:

(obs: Não sei como colocar divisão no editor de fórmulas)
E quando chega aqui, não sei como resolver e não sei se está correto, poderia me ajudar ?
-
Anninha
- Novo Usuário

-
- Mensagens: 4
- Registrado em: Qui Mar 28, 2013 22:34
- Formação Escolar: ENSINO MÉDIO
- Andamento: cursando
por e8group » Sex Mar 29, 2013 12:53
Percebo que você tem dificuldade com operações com matrizes (neste caso matriz coluna ) ,por este motivo
vou indicar a seguinte vídeo aula sobre matrizes , disponível em :
http://www.youtube.com/watch?v=sw18GQES ... c5HCIz2Z5D Seria muito importante tomar nota das videos aulas ,principalmente sobre operações com matrizes .Poderia associar também as vídeos aulas uma sequência de exercício resolvidos com respeito a operações entre matrizes(que pode encontrar em livros e internet) e tenta desenvolvê- los e comparar sua resolução com a solução proposta .
-
e8group
- Colaborador Voluntário

-
- Mensagens: 1400
- Registrado em: Sex Jun 01, 2012 12:10
- Formação Escolar: GRADUAÇÃO
- Área/Curso: Engenharia Elétrica
- Andamento: cursando
por Anninha » Sex Mar 29, 2013 14:20
santhiago escreveu:Percebo que você tem dificuldade com operações com matrizes (neste caso matriz coluna ) ,por este motivo
vou indicar a seguinte vídeo aula sobre matrizes , disponível em :
http://www.youtube.com/watch?v=sw18GQES ... c5HCIz2Z5D Seria muito importante tomar nota das videos aulas ,principalmente sobre operações com matrizes .Poderia associar também as vídeos aulas uma sequência de exercício resolvidos com respeito a operações entre matrizes(que pode encontrar em livros e internet) e tenta desenvolvê- los e comparar sua resolução com a solução proposta .
Santhiago, eu já vi todos esses videos de matrizes. E estou tentando resolver este exercício. (Estou fazendo isto por conta própria, meu professor de matemática ainda não passou este assunto). Eu o resolvi, mas não sei se esta correto, e gostaria de comparar com outros resultados. Se puder ajudar eu agradeço.
-
Anninha
- Novo Usuário

-
- Mensagens: 4
- Registrado em: Qui Mar 28, 2013 22:34
- Formação Escolar: ENSINO MÉDIO
- Andamento: cursando
por DanielFerreira » Sex Mar 29, 2013 15:18
Oi
Anninha,
Para fazer

utiliza-se o seguinte código:
- Código: Selecionar todos
\frac{1}{2}
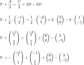
Segue a resolução do item 2):


"Sabedoria é saber o que fazer;
habilidade é saber como fazer;
virtude é fazer."
(David S. Jordan)
--------------------------------------------------------------------------------
-
DanielFerreira
- Colaborador - em formação

-
- Mensagens: 1732
- Registrado em: Qui Jul 23, 2009 21:34
- Localização: Mangaratiba - RJ
- Formação Escolar: GRADUAÇÃO
- Área/Curso: Licenciatura em Matemática - IFRJ
- Andamento: formado
-
por Anninha » Sex Mar 29, 2013 15:52
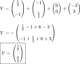
Daniel, muito obrigada. Mas você entendeu errado porque eu não soube usar corretamente o editor de fórmulas, é assim:
Que fica:

Poderia me ajudar, se não for muito incomodo.
-
Anninha
- Novo Usuário

-
- Mensagens: 4
- Registrado em: Qui Mar 28, 2013 22:34
- Formação Escolar: ENSINO MÉDIO
- Andamento: cursando
Voltar para Matrizes e Determinantes
Usuários navegando neste fórum: Nenhum usuário registrado e 21 visitantes
Assunto:
(FGV) ... função novamente rs
Autor:
my2009 - Qua Dez 08, 2010 21:48
Uma função polinomial f do 1° grau é tal que f(3) = 6 e f(4) = 8.Portanto o valor de f(10) é :
Assunto:
(FGV) ... função novamente rs
Autor: Anonymous - Qui Dez 09, 2010 17:25
Uma função de 1º grau é dada por

.
Temos que para

,

e para

,

.

Ache o valor de

e

, monte a função e substitua

por

.
Assunto:
(FGV) ... função novamente rs
Autor:
Pinho - Qui Dez 16, 2010 13:57
my2009 escreveu:Uma função polinomial f do 1° grau é tal que f(3) = 6 e f(4) = 8.Portanto o valor de f(10) é :
f(x)= 2.x
f(3)=2.3=6
f(4)=2.4=8
f(10)=2.10=20
Assunto:
(FGV) ... função novamente rs
Autor:
dagoth - Sex Dez 17, 2010 11:55
isso ai foi uma questao da FGV?
haahua to precisando trocar de faculdade.
Assunto:
(FGV) ... função novamente rs
Autor:
Thiago 86 - Qua Mar 06, 2013 23:11
Saudações!
ví suaquestão e tentei resolver, depois você conta-me se eu acertei.
Uma função de 1º grau é dada por y=3a+b
Resposta :
3a+b=6 x(4)
4a+b=8 x(-3)
12a+4b=24
-12a-3b=-24
b=0
substituindo b na 1°, ttenho que: 3a+b=6
3a+0=6
a=2
substituindo em: y=3a+b
y=30+0
y=30

Powered by phpBB © phpBB Group.
phpBB Mobile / SEO by Artodia.