por Claudin » Seg Set 12, 2011 19:57
Então no exercício abaixo, gostaria de saber se meu raciocinio esta coreto.
Não conseguir fazer uma matriz utilizando o latex.
Porem na questao a) obtive como resultado
1 0 0 |-11 -2 -24
0 1 0 |-4 0 -8
0 0 1 |6 1 12
Ou seja obtive que a matriz é invertível, e sua inversa está ao lado da identidade.
Métodos utilizados: Gauss Jordan para achar a matriz escalonada reduzida e logo perceber se é ou não inversível.
Já a letra b), não compreendi este "X" na questão, alguém para ajudar?
- Anexos
-

"O que sabemos é uma gota, o que não sabemos é um oceano." - Isaac Newton
-
Claudin
- Colaborador Voluntário

-
- Mensagens: 913
- Registrado em: Qui Mai 12, 2011 17:34
- Formação Escolar: GRADUAÇÃO
- Área/Curso: Engenharia Elétrica
- Andamento: cursando
por Molina » Ter Set 13, 2011 01:18
Boa noite, Claudin.
Este X é uma matriz que você quer descobrir. Primeiramente pense na ordem que a matriz X deve ter e posteriormente os elementos desta matriz.
Qualquer dúvida, avise

Diego Molina |
CV |
FB |
.COMEquipe AjudaMatemática.com"Existem 10 tipos de pessoas: as que conhecem o sistema binário e as que não conhecem."
-

Molina
- Colaborador Moderador - Professor

-
- Mensagens: 1551
- Registrado em: Dom Jun 01, 2008 14:10
- Formação Escolar: GRADUAÇÃO
- Área/Curso: Licenciatura em Matemática - UFSC
- Andamento: formado
por Claudin » Ter Set 13, 2011 11:21
Valeu Molina, mais tarde eu volto a postar.

"O que sabemos é uma gota, o que não sabemos é um oceano." - Isaac Newton
-
Claudin
- Colaborador Voluntário

-
- Mensagens: 913
- Registrado em: Qui Mai 12, 2011 17:34
- Formação Escolar: GRADUAÇÃO
- Área/Curso: Engenharia Elétrica
- Andamento: cursando
por Claudin » Ter Set 13, 2011 11:54
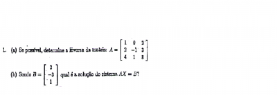
Sendo AX = B
1 0 2 x1 2
2 -1 3 X x2 = -3
4 1 8 x3 1
Sendo assim ficaria:
x1+2x3
2x1-x2+3x3
4x1+x2+8x3
Editado pela última vez por
Claudin em Ter Set 13, 2011 12:02, em um total de 1 vez.
"O que sabemos é uma gota, o que não sabemos é um oceano." - Isaac Newton
-
Claudin
- Colaborador Voluntário

-
- Mensagens: 913
- Registrado em: Qui Mai 12, 2011 17:34
- Formação Escolar: GRADUAÇÃO
- Área/Curso: Engenharia Elétrica
- Andamento: cursando
por Claudin » Ter Set 13, 2011 12:02
Utilizei Gauss Jordan para resolver o sistema e encontrei
x1= -26
x2=-7
x3=14
correto?
"O que sabemos é uma gota, o que não sabemos é um oceano." - Isaac Newton
-
Claudin
- Colaborador Voluntário

-
- Mensagens: 913
- Registrado em: Qui Mai 12, 2011 17:34
- Formação Escolar: GRADUAÇÃO
- Área/Curso: Engenharia Elétrica
- Andamento: cursando
por LuizAquino » Ter Set 13, 2011 12:18
Claudin escreveu:Não conseguir fazer uma matriz utilizando o latex.
Para isso, use o comando:
- Código: Selecionar todos
[tex]
A =
\begin{bmatrix}
a & b & c \\
d & e & f \\
g & h & i
\end{bmatrix}
[/tex]
Note que usamos o carácter "&" para separar as colunas e os caracteres "\\" para separar as linhas.
O resultado desse comando é:

Claudin escreveu:Porem na questao a) obtive como resultado
1 0 0 |-11 -2 -24
0 1 0 |-4 0 -8
0 0 1 |6 1 12
Ou seja obtive que a matriz é invertível, e sua inversa está ao lado da identidade.
Métodos utilizados: Gauss Jordan para achar a matriz escalonada reduzida e logo perceber se é ou não inversível.
Reveja suas contas, pois a inversa de A é:

Claudin escreveu:Utilizei Gauss Jordan para resolver o sistema e encontrei
x1= -26
x2=-7
x3=14
correto?
Está correto.
Entretanto vale lembrar que para resolver a equação matricial AX = B não é necessário montar um sistema nesse caso. Já que você conhece a inversa de A, se você multiplicar à esquerda toda a equação pela inversa de A, ficará com:

No caso, a matriz
I que apareceu no desenvolvimento acima é a matriz identidade (de ordem 3 por 3).
-

LuizAquino
- Colaborador Moderador - Professor

-
- Mensagens: 2654
- Registrado em: Sex Jan 21, 2011 09:11
- Localização: Teófilo Otoni - MG
- Formação Escolar: PÓS-GRADUAÇÃO
- Área/Curso: Mestrado - Modelagem Computacional
- Andamento: formado
-
por Claudin » Ter Set 13, 2011 13:39
Corrigi aqui, mas não obtive o mesmo resultado
obtive:

Não to conseguindo encontrar o erro.
"O que sabemos é uma gota, o que não sabemos é um oceano." - Isaac Newton
-
Claudin
- Colaborador Voluntário

-
- Mensagens: 913
- Registrado em: Qui Mai 12, 2011 17:34
- Formação Escolar: GRADUAÇÃO
- Área/Curso: Engenharia Elétrica
- Andamento: cursando
Voltar para Matrizes e Determinantes
Se chegou até aqui, provavelmente tenha interesse pelos tópicos relacionados abaixo.
Aproveite a leitura. Bons estudos!
-
- [MATRIZ] Como acho o determinante dessa matriz
por LAZAROTTI » Qui Mai 03, 2012 00:38
- 4 Respostas
- 7157 Exibições
- Última mensagem por Russman

Qui Mai 03, 2012 01:56
Matrizes e Determinantes
-
- [Matriz]- inversa de uma matriz
por Ana_Rodrigues » Seg Mar 26, 2012 08:54
- 2 Respostas
- 3569 Exibições
- Última mensagem por Ana_Rodrigues

Seg Mar 26, 2012 18:05
Matrizes e Determinantes
-
- [MATRIZ]Determinante da Matriz 4x4
por LAZAROTTI » Qui Mai 03, 2012 22:33
- 1 Respostas
- 6724 Exibições
- Última mensagem por LuizAquino

Sex Mai 11, 2012 08:00
Matrizes e Determinantes
-
- [Matriz] Matriz com potencias
por rochadapesada » Dom Abr 07, 2013 20:29
- 3 Respostas
- 4696 Exibições
- Última mensagem por DanielFerreira

Seg Abr 08, 2013 17:32
Matrizes e Determinantes
-
- matriz
por Barbara » Ter Ago 18, 2009 15:26
- 4 Respostas
- 4804 Exibições
- Última mensagem por Molina

Qui Ago 20, 2009 18:11
Matrizes e Determinantes
Usuários navegando neste fórum: Nenhum usuário registrado e 2 visitantes
Assunto:
(FGV) ... função novamente rs
Autor:
my2009 - Qua Dez 08, 2010 21:48
Uma função polinomial f do 1° grau é tal que f(3) = 6 e f(4) = 8.Portanto o valor de f(10) é :
Assunto:
(FGV) ... função novamente rs
Autor: Anonymous - Qui Dez 09, 2010 17:25
Uma função de 1º grau é dada por

.
Temos que para

,

e para

,

.

Ache o valor de

e

, monte a função e substitua

por

.
Assunto:
(FGV) ... função novamente rs
Autor:
Pinho - Qui Dez 16, 2010 13:57
my2009 escreveu:Uma função polinomial f do 1° grau é tal que f(3) = 6 e f(4) = 8.Portanto o valor de f(10) é :
f(x)= 2.x
f(3)=2.3=6
f(4)=2.4=8
f(10)=2.10=20
Assunto:
(FGV) ... função novamente rs
Autor:
dagoth - Sex Dez 17, 2010 11:55
isso ai foi uma questao da FGV?
haahua to precisando trocar de faculdade.
Assunto:
(FGV) ... função novamente rs
Autor:
Thiago 86 - Qua Mar 06, 2013 23:11
Saudações!
ví suaquestão e tentei resolver, depois você conta-me se eu acertei.
Uma função de 1º grau é dada por y=3a+b
Resposta :
3a+b=6 x(4)
4a+b=8 x(-3)
12a+4b=24
-12a-3b=-24
b=0
substituindo b na 1°, ttenho que: 3a+b=6
3a+0=6
a=2
substituindo em: y=3a+b
y=30+0
y=30

Powered by phpBB © phpBB Group.
phpBB Mobile / SEO by Artodia.