por adauto martins » Qui Nov 06, 2014 20:38
meu caro lucas,
se vc nao estudar as propriedades de logaritmo vc nao ira entender nada...qquer site de matematica tem as propriedades...
eu perco mais tempo escrevendo no latex do q. resolvendo exercicios,mas vamos la...
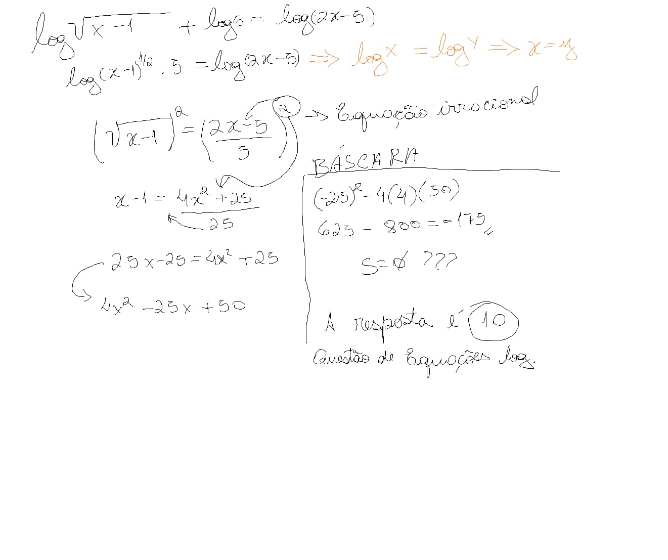
![\log_{}^{\sqrt[]{x-1}}=\log_{}^{({x-1})^{1/2}}=(1/2).\log_{}^{x-1}...aqui usei a propriedade \log_{}^{{x}^{k}}=k.\log_{}^{x} \log_{}^{\sqrt[]{x-1}}=\log_{}^{({x-1})^{1/2}}=(1/2).\log_{}^{x-1}...aqui usei a propriedade \log_{}^{{x}^{k}}=k.\log_{}^{x}](/latexrender/pictures/e1e7df6232c0ff008bb5bf9e72852cec.png)
...como a equaçao eh:
![\log_{}^{\sqrt[]{x-1}}+\log_{}^{5}=\log_{}^{({2x-5})\Rightarrow (1/2)\log_{}^{x-1}+\log_{}^{5}=\log_{}^{2x-5} \log_{}^{\sqrt[]{x-1}}+\log_{}^{5}=\log_{}^{({2x-5})\Rightarrow (1/2)\log_{}^{x-1}+\log_{}^{5}=\log_{}^{2x-5}](/latexrender/pictures/2577c1568d29d308f4a718d6ab9380c6.png)
...reescrevendo ficara:

=

,agora vou usar a propriedade:

...

...desenvolvendo

-
adauto martins
- Colaborador Voluntário

-
- Mensagens: 1171
- Registrado em: Sex Set 05, 2014 19:37
- Formação Escolar: EJA
- Área/Curso: matematica
- Andamento: cursando
por jefferson0209 » Ter Set 22, 2015 18:36
alguem me ajuda?
1)sendo log2=u e log3=v,determine:
a)log12
b)log15
2)calcula:
log 81+ log625-log100
.. 3 . . 5
-
jefferson0209
- Usuário Dedicado

-
- Mensagens: 29
- Registrado em: Ter Set 22, 2015 15:13
- Formação Escolar: ENSINO MÉDIO
- Área/Curso: matematica
- Andamento: cursando
por lucassouza » Ter Set 22, 2015 19:49
1)sendo log2=u e log3=v,determine:
a)log12
b)log15
a letra b) se resolve da mesma maneira.
Na segunda basicamente vc tem que fazer simplificações usando propriedades de logaritmos, o log de 81 na base 3 vai ficar igual a 4,log625 na base 5 fica igual a 4 e log100 igual a 2 ai vc efetua a operação.
aguarde uma outra pessoa responder pq não sei se está certo!
- Anexos
-

- possível resolução da primeira
- primeira.gif (2.4 KiB) Exibido 3404 vezes
-
lucassouza
- Usuário Dedicado

-
- Mensagens: 29
- Registrado em: Seg Set 15, 2014 15:03
- Formação Escolar: SUPLETIVO
- Andamento: cursando
Voltar para Logaritmos
Se chegou até aqui, provavelmente tenha interesse pelos tópicos relacionados abaixo.
Aproveite a leitura. Bons estudos!
-
- [Equações] Me ajudem nessas equações do meu trabalho!
por henriquea92 » Sáb Jun 01, 2013 15:53
- 0 Respostas
- 3051 Exibições
- Última mensagem por henriquea92

Sáb Jun 01, 2013 15:53
Equações
-
- [Equações] Determinar Frações de equações
por fenixxx » Ter Fev 28, 2012 21:28
- 2 Respostas
- 3979 Exibições
- Última mensagem por fenixxx

Qua Fev 29, 2012 17:08
Funções
-
- Equações cartesianas e equações paramétricas
por Victor Mello » Sáb Ago 23, 2014 16:24
- 1 Respostas
- 3311 Exibições
- Última mensagem por Russman

Sáb Ago 23, 2014 18:29
Funções
-
- Equações
por Neperiano » Qua Fev 11, 2009 12:33
- 6 Respostas
- 6302 Exibições
- Última mensagem por marcio silva

Sex Mar 20, 2009 20:15
Sistemas de Equações
-
- Equações
por Luna » Qui Set 10, 2009 19:30
- 2 Respostas
- 2175 Exibições
- Última mensagem por Luna

Sex Set 11, 2009 19:54
Sistemas de Equações
Usuários navegando neste fórum: Nenhum usuário registrado e 1 visitante
Assunto:
simplifiquei e achei...está certo?????????????
Autor:
zig - Sex Set 23, 2011 13:57
![{(0,05)}^{-\frac{1}{2}}=\frac{10}{\sqrt[5]} {(0,05)}^{-\frac{1}{2}}=\frac{10}{\sqrt[5]}](/latexrender/pictures/19807748a214d3361336324f3e43ea9a.png)
![{(0,05)}^{-\frac{1}{2}}=\frac{10}{\sqrt[2]{5}} {(0,05)}^{-\frac{1}{2}}=\frac{10}{\sqrt[2]{5}}](/latexrender/pictures/3d7908e5b4e397bf635b6546063d9130.png)
Assunto:
simplifiquei e achei...está certo?????????????
Autor:
Vennom - Sex Set 23, 2011 21:41
zig escreveu:![{(0,05)}^{-\frac{1}{2}}=\frac{10}{\sqrt[5]} {(0,05)}^{-\frac{1}{2}}=\frac{10}{\sqrt[5]}](/latexrender/pictures/19807748a214d3361336324f3e43ea9a.png)
![{(0,05)}^{-\frac{1}{2}}=\frac{10}{\sqrt[2]{5}} {(0,05)}^{-\frac{1}{2}}=\frac{10}{\sqrt[2]{5}}](/latexrender/pictures/3d7908e5b4e397bf635b6546063d9130.png)
Rpz, o negócio é o seguinte:
Quando você tem uma potência negativa, tu deve inverter a base dela. Por exemplo:
Então pense o seguinte: a fração geratriz de 0,05 é

, ou seja, 1 dividido por 20 é igual a 0.05 . Sendo assim, a função final é igual a vinte elevado à meio.
Veja:
A raiz quadrada de vinte, você acha fácil, né?
Espero ter ajudado.
Assunto:
simplifiquei e achei...está certo?????????????
Autor:
fraol - Dom Dez 11, 2011 20:23
Nós podemos simplificar, um pouco,

da seguinte forma:

.
É isso.
Assunto:
simplifiquei e achei...está certo?????????????
Autor:
fraol - Dom Dez 11, 2011 20:24
Nós podemos simplificar, um pouco,

da seguinte forma:

.
É isso.
Powered by phpBB © phpBB Group.
phpBB Mobile / SEO by Artodia.