por vyhonda » Qua Mai 12, 2010 18:32
Galera esse exercício é do caderno de exercícios do anglo. O primeiro item eu consegui fazer mas não entendi direito....

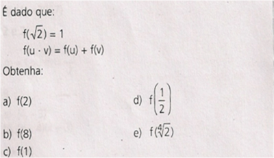
- Exercicio
Valeu pela Ajuda!
-
vyhonda
- Usuário Ativo

-
- Mensagens: 24
- Registrado em: Dom Jan 17, 2010 20:03
- Formação Escolar: GRADUAÇÃO
- Área/Curso: Engenharia de Materiais - Unesp
- Andamento: cursando
por Molina » Qua Mai 12, 2010 19:36
Boa noite,
Acho que uma deve ser consequencia da outra. Resolvendo o a)...

Usando o segundo dado do enunciado...


Diego Molina |
CV |
FB |
.COMEquipe AjudaMatemática.com"Existem 10 tipos de pessoas: as que conhecem o sistema binário e as que não conhecem."
-

Molina
- Colaborador Moderador - Professor

-
- Mensagens: 1551
- Registrado em: Dom Jun 01, 2008 14:10
- Formação Escolar: GRADUAÇÃO
- Área/Curso: Licenciatura em Matemática - UFSC
- Andamento: formado
Voltar para Funções
Se chegou até aqui, provavelmente tenha interesse pelos tópicos relacionados abaixo.
Aproveite a leitura. Bons estudos!
-
- sistema de funções de 1° grau
por ssousa3 » Dom Mar 27, 2011 03:47
- 8 Respostas
- 4601 Exibições
- Última mensagem por LuizAquino

Dom Mar 27, 2011 14:51
Funções
-
- Funçoes de segundo grau
por Fabricio dalla » Sex Jun 17, 2011 14:28
- 2 Respostas
- 1675 Exibições
- Última mensagem por Fabricio dalla

Dom Jun 19, 2011 15:53
Funções
-
- Funções do 2º Grau - Duvida sobre desenvolvimento
por d4rwin » Qua Set 09, 2015 10:14
- 1 Respostas
- 1547 Exibições
- Última mensagem por nakagumahissao

Ter Out 06, 2015 14:53
Funções
-
- funções 2° grau e função afim. ajudaaa por favor!!
por luluh132 » Seg Mai 16, 2011 13:58
- 1 Respostas
- 1839 Exibições
- Última mensagem por Neperiano

Sex Out 28, 2011 15:31
Funções
-
- EXERCÍCIO FUNÇÕES 2º GRAU encontrar a diferença e intersecçã
por kalanicastanho » Seg Jun 13, 2016 20:15
- 0 Respostas
- 1329 Exibições
- Última mensagem por kalanicastanho

Seg Jun 13, 2016 20:15
Funções
Usuários navegando neste fórum: Nenhum usuário registrado e 1 visitante
Assunto:
Unesp - 95 Números Complexos
Autor:
Alucard014 - Dom Ago 01, 2010 18:22
(UNESP - 95) Seja L o Afixo de um Número complexo

em um sistema de coordenadas cartesianas xOy. Determine o número complexo b , de módulo igual a 1 , cujo afixo M pertence ao quarto quadrante e é tal que o ângulo LÔM é reto.
Assunto:
Unesp - 95 Números Complexos
Autor:
MarceloFantini - Qui Ago 05, 2010 17:27
Seja

o ângulo entre o eixo horizontal e o afixo

. O triângulo é retângulo com catetos

e

, tal que

. Seja

o ângulo complementar. Então

. Como

, o ângulo que o afixo

formará com a horizontal será

, mas negativo pois tem de ser no quarto quadrante. Se

, então

. Como módulo é um:

.
Logo, o afixo é

.
Powered by phpBB © phpBB Group.
phpBB Mobile / SEO by Artodia.