por Adriana Barbosa » Seg Jun 01, 2009 11:01
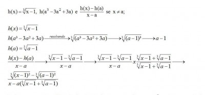
Estou tentando resolver esta questão de função, eu sei que apartir de onde eu parei tenho de racionalizar, mas não estou encontrando uma idéia

, poderia me ajudar?
Obrigada
- Anexos
-

-
Adriana Barbosa
- Novo Usuário

-
- Mensagens: 8
- Registrado em: Ter Mai 26, 2009 21:45
- Formação Escolar: GRADUAÇÃO
- Área/Curso: Química
- Andamento: cursando
por Molina » Ter Jun 02, 2009 07:00
Bom dia, Adriana.
Só corrigindo (provavelmente apenas um erro de digitação):
No anexo, na terceira linha, após a primeira seta, dentro da raiz está faltando o
-1, ok?
Agora vamos segunda parte.
Esta racionalização que você fez (multiplicar pelo conjugado) só é realmente favorável quando tratamos de raizes quadradas, porque assim as raizes se "anulam" e ficamos sem elas. Na raiz cúbica (na verdade quando o índice for maior do que 2) utilizamos outro método:
![\sqrt[x]{k^a} * \sqrt[y]{k^b} = k^{\frac{a}{x}+\frac{b}{y}} \sqrt[x]{k^a} * \sqrt[y]{k^b} = k^{\frac{a}{x}+\frac{b}{y}}](/latexrender/pictures/2bd204678baf4bc35a53b983a58de1b1.png)
, tal que

deve ser igual a 1. Então você deve substituir as letras por valores convenientes.
Tente resolver desta forma e qualquer coisa é só comentar aqui.
Bom estudo,

Diego Molina |
CV |
FB |
.COMEquipe AjudaMatemática.com"Existem 10 tipos de pessoas: as que conhecem o sistema binário e as que não conhecem."
-

Molina
- Colaborador Moderador - Professor

-
- Mensagens: 1551
- Registrado em: Dom Jun 01, 2008 14:10
- Formação Escolar: GRADUAÇÃO
- Área/Curso: Licenciatura em Matemática - UFSC
- Andamento: formado
Voltar para Funções
Se chegou até aqui, provavelmente tenha interesse pelos tópicos relacionados abaixo.
Aproveite a leitura. Bons estudos!
-
- duvidas e + duvidas
por sukita » Ter Out 05, 2010 22:22
- 1 Respostas
- 1695 Exibições
- Última mensagem por MarceloFantini

Ter Out 05, 2010 22:31
Progressões
-
- Duvidas
por Paulo A G » Qua Jan 26, 2011 14:45
- 1 Respostas
- 3059 Exibições
- Última mensagem por Molina

Qua Jan 26, 2011 15:09
Pedidos de Materiais
-
- 2 dúvidas
por analuiza » Qui Fev 17, 2011 23:14
- 1 Respostas
- 2742 Exibições
- Última mensagem por Molina

Sex Fev 18, 2011 13:33
Trigonometria
-
- Dúvidas ....
por vanessa134 » Seg Out 17, 2011 01:06
- 0 Respostas
- 1526 Exibições
- Última mensagem por vanessa134

Seg Out 17, 2011 01:06
Álgebra Elementar
-
- Dúvidas D:
por Aliiine » Seg Out 24, 2011 11:12
- 1 Respostas
- 2059 Exibições
- Última mensagem por jose henrique

Seg Out 24, 2011 22:47
Estatística
Usuários navegando neste fórum: Nenhum usuário registrado e 1 visitante
Assunto:
[Função] do primeiro grau e quadratica
Autor:
Thassya - Sáb Out 01, 2011 16:20
1) Para que os pontos (1,3) e (-3,1) pertençam ao grafico da função f(X)=ax + b ,o valor de b-a deve ser ?
2)Qual o maior valor assumido pela função f : [-7 ,10] em R definida por f(x) = x ao quadrado - 5x + 9?
3) A função f, do primeiro grau, é definida pos f(x)= 3x + k para que o gráfico de f corte o eixo das ordenadas no ponto de ordenada 5 é?
Assunto:
[Função] do primeiro grau e quadratica
Autor:
Neperiano - Sáb Out 01, 2011 19:46
Ola
Qual as suas dúvidas?
O que você não está conseguindo fazer?
Nos mostre para podermos ajudar
Atenciosamente
Assunto:
[Função] do primeiro grau e quadratica
Autor:
joaofonseca - Sáb Out 01, 2011 20:15
1)Dados dois pontos A=(1,3) e B=(-3,1) de uma reta, é possivel definir a sua equação.
Em

substitui-se
m, substitui-se
y e
x por um dos pares ordenados, e resolve-se em ordem a
b.
2)Na equação

não existem zeros.Senão vejamos
Completando o quadrado,
As coordenadas do vertice da parabola são
O eixo de simetria é a reta

.Como se pode observar o vertice está acima do eixo Ox, estando parabola virada para cima, o vertice é um mínimo absoluto.Então basta calcular a função para os valores dos extremos do intervalo.
f(-7)=93
f(10)=59
Powered by phpBB © phpBB Group.
phpBB Mobile / SEO by Artodia.