por brunnomaia » Dom Mar 06, 2011 11:07
Pessoal sou novo no fórum e este é meu primeiro tópico, desculpe se o tópico estiver no local errado.
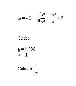
Eu tenho 32 anos e estou querendo depois de velho tentar vestibular para Engenharia Civil, O fato é que estou com algumas apostilas de cursinho fazendo exercícios e esbarrei logo de cara na questão abaixo:
O fato é que a anos eu não vejo matemática então não sei nem por onde começar..
Eu tenho o resultado porém não consigo chegar nele, até imagino que seja bem simples mas minha cabeça não consegue puxar pela memória o que aprendi a anos atrás.
- Anexos
-

- Equação.JPG (5.77 KiB) Exibido 1691 vezes
-
brunnomaia
- Novo Usuário

-
- Mensagens: 2
- Registrado em: Dom Mar 06, 2011 10:59
- Formação Escolar: ENSINO MÉDIO
- Andamento: cursando
por LuizAquino » Dom Mar 06, 2011 11:40
Você quer calcular

.
Portanto, você quer o valor de

.
Primeiro, vamos simplificar um pouco essa raiz.

Usando o produto notável

, nós temos que:

Como
a e
b são números positivos, podemos efetuar a simplificação entre a raiz quadrada e a potência 2.


Usando o produto notável

, temos que:


Agora, basta substituir os valores para
a e
b:
SugestãoAcredito que o tópico a seguir deva lhe interessar:
Aulas de Matemática no YouTubeviewtopic.php?f=120&t=3818
-

LuizAquino
- Colaborador Moderador - Professor

-
- Mensagens: 2654
- Registrado em: Sex Jan 21, 2011 09:11
- Localização: Teófilo Otoni - MG
- Formação Escolar: PÓS-GRADUAÇÃO
- Área/Curso: Mestrado - Modelagem Computacional
- Andamento: formado
-
por brunnomaia » Dom Mar 06, 2011 11:53
Muito Obrigado!
Eu estava tentando simplificar desde o começo substituindo o b por 1 , não lembrava dos produtos notáveis!
-
brunnomaia
- Novo Usuário

-
- Mensagens: 2
- Registrado em: Dom Mar 06, 2011 10:59
- Formação Escolar: ENSINO MÉDIO
- Andamento: cursando
Voltar para Funções
Se chegou até aqui, provavelmente tenha interesse pelos tópicos relacionados abaixo.
Aproveite a leitura. Bons estudos!
-
- Dúvida - resolução função !
por jamiel » Qui Mai 26, 2011 18:07
- 11 Respostas
- 5609 Exibições
- Última mensagem por jamiel

Qui Mai 26, 2011 22:31
Funções
-
- Função Sen - Dúvida Resolução
por jamiel » Sáb Jul 02, 2011 17:47
- 7 Respostas
- 4223 Exibições
- Última mensagem por jamiel

Sáb Jul 02, 2011 19:42
Funções
-
- Função Exponencial - Dúvida na resolução!
por jamiel » Dom Mai 15, 2011 14:09
- 1 Respostas
- 4684 Exibições
- Última mensagem por Claudin

Dom Mai 15, 2011 14:21
Funções
-
- Retângulo - função(resolução-dúvida)
por jamiel » Seg Mai 23, 2011 14:44
- 2 Respostas
- 3915 Exibições
- Última mensagem por jamiel

Seg Mai 23, 2011 21:39
Funções
-
- Dúvida - resolução(função inversa)
por jamiel » Ter Jun 14, 2011 18:49
- 1 Respostas
- 1378 Exibições
- Última mensagem por DanielFerreira

Qui Jun 16, 2011 16:00
Funções
Usuários navegando neste fórum: Nenhum usuário registrado e 2 visitantes
Assunto:
método de contagem
Autor:
sinuca147 - Seg Mai 25, 2009 09:10
Veja este exercício:
Se A = {

} e B = {

}, então o número de elementos A

B é:
Eu tentei resolver este exercício e achei a resposta "três", mas surgiram muitas dúvidas aqui durante a resolução.
Para determinar os elementos do conjunto A, eu tive de basicamente fazer um lista de vinte dividido por todos os números naturais maiores que zero e menores que vinte e um, finalmente identificando como elementos do conjunto A os números 1, 2, 4, 5, 10 e 20. Acho que procedi de maneira correta, mas fiquei pensando aqui se não existiria um método mais "sofisticado" e prático para que eu pudesse identificar ou ao menos contar o número de elementos do conjunto A, existe?
No processo de determinação dos elementos do conjunto B o que achei foi basicamente os múltiplos de cinco e seus opostos, daí me surgiram estas dúvidas:
existe oposto de zero?
existe inverso de zero?
zero é par, certo?
sendo x um número natural, -x é múltiplo de x?
sendo z um número inteiro negativo, z é múltiplo de z?
sendo z um número inteiro negativo, -z é múltiplo de z?
A resposta é 3?
Obrigado.
Assunto:
método de contagem
Autor:
Molina - Seg Mai 25, 2009 20:42
Boa noite, sinuca.
Se A = {

} você concorda que n só pode ser de 1 a 20? Já que pertence aos naturais?
Ou seja, quais são os divisores de 20? Eles são seis: 1, 2, 4, 5, 10 e 20.
Logo, o conjunto A é
A = {1, 2, 4, 5, 10, 20}
Se B = {

} você concorda que x será os múltiplos de 5 (positivos e negativos)? Já que m pertence ao conjunto Z?
Logo, o conjunto B é
B = {... , -25, -20, -15, -10, -5, 0, 5, 10, 15, 20, 25, ...
Feito isso precisamos ver os números que está em ambos os conjuntos, que são:
5, 10 e 20 (3 valores, como você achou).
Vou responder rapidamente suas dúvidas porque meu tempo está estourando. Qualquer dúvida, coloque aqui, ok?
sinuca147 escreveu:No processo de determinação dos elementos do conjunto B o que achei foi basicamente os múltiplos de cinco e seus opostos, daí me surgiram estas dúvidas:
existe oposto de zero? sim, é o próprio zero
existe inverso de zero? não, pois não há nenhum número que multiplicado por zero resulte em 1
zero é par, certo? sim, pois pode ser escrito da forma de 2n, onde n pertence aos inteiros
sendo x um número natural, -x é múltiplo de x? Sim, pois basta pegar x e multiplicar por -1 que encontramos -x
sendo z um número inteiro negativo, z é múltiplo de z? Sim, tais perguntando se todo número é multiplo de si mesmo
sendo z um número inteiro negativo, -z é múltiplo de z? Sim, pois basta pegar -z e multiplicar por -1 que encontramos x
A resposta é 3? Sim, pelo menos foi o que vimos a cima
Bom estudo,

Assunto:
método de contagem
Autor:
sinuca147 - Seg Mai 25, 2009 23:35
Obrigado, mas olha só este link
http://www.colegioweb.com.br/matematica ... ro-natural
neste link encontra-se a a frase:
Múltiplo de um número natural é qualquer número que possa ser obtido multiplicando o número natural por 0, 1, 2, 3, 4, 5, etc.
Para determinarmos os múltiplos de 15, por exemplo, devemos multiplicá-lo pela sucessão dos números naturais:
Ou seja, de acordo com este link -5 não poderia ser múltiplo de 5, assim como 5 não poderia ser múltiplo de -5, eu sempre achei que não interessava o sinal na questão dos múltiplos, assim como você me confirmou, mas e essa informação contrária deste site, tem alguma credibilidade?
Há e claro, a coisa mais bacana você esqueceu, quero saber se existe algum método de contagem diferente do manual neste caso:
Para determinar os elementos do conjunto A, eu tive de basicamente fazer um lista de vinte dividido por todos os números naturais maiores que zero e menores que vinte e um, finalmente identificando como elementos do conjunto A os números 1, 2, 4, 5, 10 e 20. Acho que procedi de maneira correta, mas fiquei pensando aqui se não existiria um método mais "sofisticado" e prático para que eu pudesse identificar ou ao menos contar o número de elementos do conjunto A, existe?
Powered by phpBB © phpBB Group.
phpBB Mobile / SEO by Artodia.