por silvanuno11 » Ter Mar 27, 2012 13:26
Boa tarde,
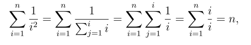
No problema que está em anexo, penso que a dedução está correta, mas as opções são as seguintes:
a) a primeira igualdade não está certa
b) a segunda igualdade não está certa
c) a terceira igualdade não está certa
d) a dedução está certa
Alguém me pode confirmar se estou certo, quando digo que a alínea d) é a correta.
Obrigado
Abraço
Silva
- Anexos
-

- Dedução.PNG (8.53 KiB) Exibido 995 vezes
-
silvanuno11
- Novo Usuário

-
- Mensagens: 5
- Registrado em: Seg Mar 26, 2012 20:15
- Formação Escolar: SUPLETIVO
- Andamento: cursando
Voltar para Álgebra Elementar
Se chegou até aqui, provavelmente tenha interesse pelos tópicos relacionados abaixo.
Aproveite a leitura. Bons estudos!
-
- Dedução
por Guilherme Carvalho » Qua Ago 10, 2011 22:40
- 1 Respostas
- 1658 Exibições
- Última mensagem por Molina

Qua Ago 10, 2011 23:49
Trigonometria
-
- Dedução de Eq. de Reta
por OtavioBonassi » Qua Jan 05, 2011 22:40
- 3 Respostas
- 2741 Exibições
- Última mensagem por OtavioBonassi

Qui Jan 06, 2011 20:43
Funções
-
- Dedução de formula
por rodrigosoaresd » Ter Ago 14, 2012 14:30
- 1 Respostas
- 1697 Exibições
- Última mensagem por e8group

Ter Ago 14, 2012 15:34
Geometria Analítica
-
- Dedução da área do círculo.
por Civil UFSCar » Ter Jun 21, 2011 13:24
- 2 Respostas
- 2890 Exibições
- Última mensagem por LuizAquino

Ter Jun 21, 2011 16:08
Cálculo: Limites, Derivadas e Integrais
-
- [Dedução Natural] Exercício
por AlexandreJML » Ter Mar 27, 2012 13:16
- 0 Respostas
- 1565 Exibições
- Última mensagem por AlexandreJML

Ter Mar 27, 2012 13:16
Álgebra Elementar
Usuários navegando neste fórum: Nenhum usuário registrado e 1 visitante
Assunto:
cálculo de limites
Autor:
Hansegon - Seg Ago 25, 2008 11:29
Bom dia.
Preciso de ajuda na solução deste problema, pois só chego ao resultado de 0 sobre 0.
Obrigado
\lim_{x\rightarrow-1} x³ +1/x²-1[/tex]
Assunto:
cálculo de limites
Autor:
Molina - Seg Ago 25, 2008 13:25
Realmente se você jogar o -1 na equação dá 0 sobre 0.
Indeterminações deste tipo você pode resolver por L'Hôpital
que utiliza derivada.
Outro modo é transformar o numerador e/ou denominador
para que não continue dando indeterminado.
Dica: dividir o numerador e o denominador por algum valor é uma forma que normalmente dá certo.
Caso ainda não tenha dado uma

, avisa que eu resolvo.
Bom estudo!
Assunto:
cálculo de limites
Autor:
Guill - Dom Abr 08, 2012 16:03

Powered by phpBB © phpBB Group.
phpBB Mobile / SEO by Artodia.