Pesquisa resultou em 4 ocorrências

Voltar à pesquisa avançada

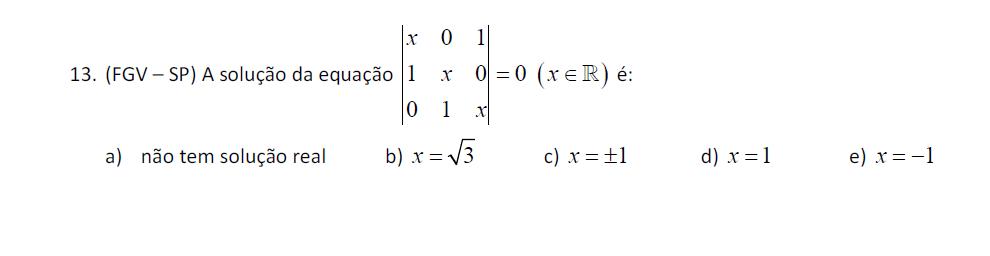
Sistema lineares

Preciso de uma formula pra mim chegar no resultado ,a resposta e a letra (a) mais não sei o como e a formula pra chega ao resultado...
por lucastorres26
Dom Mai 29, 2011 21:40
 
Fórum: Sistemas de Equações
Tópico: Sistema lineares
Respostas: 2
Exibições: 4863

Conjunto da solução de equação

Olá pessoal eu preciso da formula como se faz pra chegar nesse resultado da LETRA (A) E LETRA (B),DESDE DE JÁ AGRADEÇO A AJUDAR DE TODOS ! PS: ao lado coloquei o resultado da conta,mais nao sei como faço!
DSCN2174.JPG
por lucastorres26
Sex Mai 20, 2011 02:06
 
Fórum: Matrizes e Determinantes
Tópico: Conjunto da solução de equação
Respostas: 1
Exibições: 3089

AMIGOOOOOOOOOOOOS PRECISO DE AJUDAR DE VOCÊIS

EU PRECISO SABER COMO FAÇO ESSA CONTA AINDA NÃO CONSEGUIR FAZER SÓ PRECISO DA FORMULA ME ENSINEM POR FAVOR
265.JPG
por lucastorres26
Qua Mai 18, 2011 23:46
 
Fórum: Matrizes e Determinantes
Tópico: AMIGOOOOOOOOOOOOS PRECISO DE AJUDAR DE VOCÊIS
Respostas: 2
Exibições: 2010

DETERMINANTES ME AJUDEM POR FAVOR

meeeeeeeeeeeeeeeeeee ajudem
265.JPG
por lucastorres26
Qua Mai 18, 2011 22:15
 
Fórum: Matrizes e Determinantes
Tópico: DETERMINANTES ME AJUDEM POR FAVOR
Respostas: 1
Exibições: 1332

Voltar à pesquisa avançada