Pesquisa resultou em 3 ocorrências

Voltar à pesquisa avançada

Derivada de Receita Marginal

Como resolver essa questão. A receita marginal de uma empresa segue o modelo
Imagem2.png
Imagem2.png (14.09 KiB) Exibido 2989 vezes


então a expressão da receita total é dada por:
por Douglas13
Qua Dez 02, 2015 09:40
 
Fórum: Trigonometria
Tópico: Derivada de Receita Marginal
Respostas: 1
Exibições: 2989

Re: [Integral Por Substituição]

Nakagumahissao Muito obrigado pela ajuda, não consegui resolver essa integral
por Douglas13
Qua Nov 25, 2015 21:13
 
Fórum: Trigonometria
Tópico: [Integral Por Substituição]
Respostas: 3
Exibições: 5454

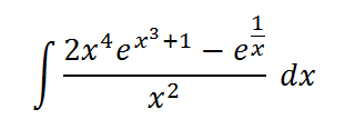
[Integral Por Substituição]

Gostaria de saber se alguém poderia me ajudar a resolver essa integral

unnamed.png
unnamed.png (2.39 KiB) Exibido 5454 vezes



De preferência passo a passo para que possa compreender.
por Douglas13
Qua Nov 25, 2015 10:49
 
Fórum: Trigonometria
Tópico: [Integral Por Substituição]
Respostas: 3
Exibições: 5454

Voltar à pesquisa avançada